-
MS-KW-0086 ethyl m-aminobenzoate C9H11NO2 (Mass of molecular ion: 165)
Source Temperature: 220 °C Sample Temperature: 150 °C Reservoir, 75 eV
26.0 1.0 27.0 4.1 28.0 4.3 29.0 4.2 38.0 2.0 39.0 9.6 40.0 1.0 41.0 2.7 46.0 3.9 51.0 1.0 52.0 2.9 53.0 1.0 60.0 6.2 62.0 1.3 63.0 4.7 64.0 4.9 65.0 31.0 66.0 5.3 80.0 1.0 90.0 1.4 91.0 6.2 92.0 66.3 93.0 31.1 94.0 2.3 109.0 1.5 119.0 2.0 120.0 100.0 121.0 15.4 122.0 1.2 137.0 29.5 138.0 2.5 150.0 4.4 165.0 87.3 166.0 9.4
400 MHz in CDCl3
-
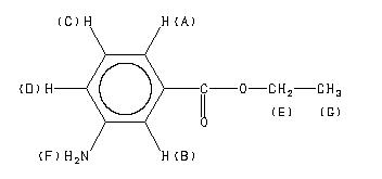
1H NMR 399.65 MHz C9 H11 N O2 0.05 ml : 0.5 ml CDCl3 ethyl m-aminobenzoate 
Assign. Shift(ppm)
A 7.413 B 7.352 C 7.174 D 6.817 E 4.325 F 3.79 G 1.346
Hz ppm Int.2968.14 7.427 127 2967.04 7.425 155 2966.67 7.424 158 2965.58 7.421 140 2960.45 7.408 144 2958.98 7.404 185 2957.89 7.402 159 2940.31 7.358 195 2938.11 7.352 228 2936.52 7.348 182 2875.12 7.195 179 2867.19 7.175 315 2859.50 7.156 169 2730.10 6.832 145 2729.13 6.829 152 2727.66 6.826 144 2726.56 6.823 142 2722.17 6.812 128 2721.07 6.809 133 2719.60 6.805 131 2718.63 6.803 126 1739.75 4.354 217 1732.54 4.336 583 1725.46 4.318 584 1718.26 4.300 223 1515.38 3.792 77 545.29 1.365 612 538.21 1.347 1000 533.81 1.336 36 531.01 1.329 591
更多供应商




