图谱信息 供应商 相关产品
网站主页CAS数据库列表 583-39-1更多图谱2-巯基苯并咪唑(583-39-1)质谱(MS)

2-巯基苯并咪唑

产品名称 2-巯基苯并咪唑

CAS号583-39-1

分子式C7H6N2S

分子量150.2

展开


  • Mass

    MS-NW-0355          
    2-mercaptobenzimidazole
    C7H6N2S             (Mass of molecular ion:    150)
    

       Source Temperature: 160 °C
       Sample Temperature: 190 °C
       Direct, 75 eV
    

          18.0       1.4
          28.0       1.3
          37.0       1.1
          38.0       1.9
          39.0       3.2
          45.0       1.6
          50.0       1.3
          51.0       2.1
          52.0       3.0
          62.0       1.5
          63.0       5.3
          64.0       3.9
          65.0       8.5
          70.0       1.0
          75.0      10.6
          75.5       1.0
          76.0       1.1
          78.0       2.3
          79.0       1.0
          90.0       3.3
          91.0       4.3
          92.0       5.6
          96.0       3.9
         105.0       2.5
         106.0       4.9
         117.0       1.1
         118.0       8.4
         122.0       8.2
         123.0       4.6
         149.0       7.1
         150.0     100.0
         151.0       9.4
         152.0       4.9
    

90 MHz in DMSO-d6


  • 1H NMR 89.56 MHz
    C7 H6 N2 S 0.042 g : 0.5 ml DMSO-d6
    2-mercaptobenzimidazole
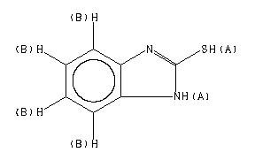
    ChemicalStructure
        Assign.     Shift(ppm)
    A 12.51 B 7.39 to 6.95

         Hz     ppm     Int.
    

       1126.22  12.576     30
       1120.58  12.513    112
        644.03   7.192     46
        640.87   7.156   1000
        637.62   7.120     66
    

DMSO-d6



KBr disc



nujol mull