
双(2,4-二硝基)乙酸乙酯
产品名称
双(2,4-二硝基)乙酸乙酯
CAS号5833-18-1
分子式C16H12N4O10
分子量420.29
InChIInChI=1S/C16H12N4O10/c1-2-30-16(21)15(11-5-3-9(17(22)23)7-13(11)19(26)27)12-6-4-10(18(24)25)8-14(12)20(28)29/h3-8,15H,2H2,1H3
InChIKeyCMVIALRRHVVWIW-UHFFFAOYSA-N
SmilesC(C(=O)OCC)(C1=CC=C([N+]([O-])=O)C=C1[N+]([O-])=O)C1C=CC([N+]([O-])=O)=CC=1[N+]([O-])=O
展开
收起
-
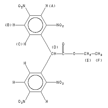
Assign. Shift(ppm)
A 8.991
B 8.467
C 7.440
D 6.46
E 4.285
F 1.271
Spectral Code: 1H NMR : 90 MHz in CDCl3
-
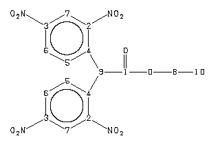
ppm Int. Assign.
168.38 396 1
149.03 486 2
147.83 486 3
137.39 802 4
132.46 1000 5
127.75 856 6
121.33 658 7
63.32 360 8
50.64 369 9
13.93 387 10
Spectral Code: 13C NMR : in CDCl3
-
Spectral Code: IR : KBr disc
双(2,4-二硝基)乙酸乙酯(5833-18-1)核磁图(1HNMR) 相关产品图谱