-
MS-NW-6184 m-anisic acid C8H8O3 (Mass of molecular ion: 152)
Source Temperature: 260 °C Sample Temperature: 190 °C Reservoir, 75 eV
15.0 1.6 18.0 2.5 27.0 2.8 29.0 1.2 37.0 1.7 38.0 4.5 39.0 6.8 44.0 1.3 45.0 2.0 50.0 5.4 51.0 3.9 52.0 1.4 53.0 5.1 55.0 1.0 61.0 1.2 62.0 2.7 63.0 9.9 64.0 9.0 65.0 10.1 66.0 1.3 74.0 2.5 75.0 2.5 76.0 3.8 77.0 16.2 78.0 4.0 79.0 4.6 81.0 11.2 92.0 9.9 93.0 1.9 94.0 1.1 104.0 1.2 105.0 12.0 106.0 1.8 107.0 15.8 108.0 2.0 109.0 3.1 119.0 1.1 121.0 1.4 122.0 4.0 123.0 1.0 135.0 33.0 136.0 3.2 137.0 2.9 151.0 4.7 152.0 100.0 153.0 9.1 154.0 1.1
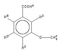
90 MHz in CDCl3
-
1H NMR 89.56 MHz C8 H8 O3 0.042 g : 0.5 ml CDCl3 m-anisic acid 
Assign. Shift(ppm)
A 12.71 B 7.718 C 7.63 D 7.364 E 7.157 F 3.855
Hz ppm Int.1138.70 12.715 103 697.27 7.786 32 695.81 7.770 70 694.45 7.755 47 689.92 7.704 45 688.46 7.688 107 687.10 7.672 78 684.88 7.648 72 683.85 7.636 53 682.31 7.619 79 681.29 7.608 57 668.38 7.463 46 667.87 7.458 48 660.27 7.373 99 659.75 7.367 86 652.92 7.291 65 652.32 7.284 63 645.48 7.208 64 644.12 7.193 72 642.83 7.178 61 641.55 7.164 61 637.28 7.116 32 634.63 7.087 31 345.21 3.855 1000
更多供应商






