图谱信息 供应商 相关产品
网站主页CAS数据库列表 5867-45-8更多图谱3-乙酰氨基吡啶(5867-45-8)红外图谱(IR1)

3-乙酰氨基吡啶

产品名称 3-乙酰氨基吡啶

CAS号5867-45-8

分子式C7H8N2O

分子量136.15

展开



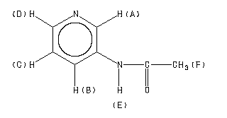
  •     Parameter     ppm  Hz
    D(A) 8.96 D(B) 8.25 D(C) 7.44 D(D) 8.43 J(A,B) 2.4 J(A,C) 0.5 J(A,D) 0.0 J(B,C) 7.7 J(B,D) 1.3 J(C,D) 4.5 D(E) 10.4 D(F) 2.18 BRUEGEL,W. Z.ELEKTROCHEM.(BER.BUNSENGES.PHYS.CHEM.) 66, 159 (1962) H(E):BROAD.
    Spectral Code: 1H NMR : parameter in DMSO-d6


  • Spectral Code: IR : KBr disc