-
MS-IW-5808 p-(benzylideneamino)phenol C13H11NO (Mass of molecular ion: 197)
Source Temperature: 160 °C Sample Temperature: 120 °C Direct, 75 eV
18.0 1.8 39.0 4.3 51.0 1.6 63.0 1.9 64.0 1.2 65.0 9.5 76.0 1.1 77.0 4.7 78.0 1.7 83.5 1.4 89.0 2.6 89.5 4.2 90.0 1.4 93.0 8.1 98.0 1.3 98.5 3.1 115.0 1.1 119.0 2.6 120.0 11.3 151.0 1.1 167.0 2.3 168.0 1.2 196.0 77.8 197.0 100.0 198.0 14.1 199.0 1.2
400 MHz in DMSO-d6
-
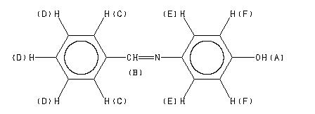
1H NMR 399.65 MHz C13 H11 N O 0.040 g : 0.5 ml DMSO-d6 p-(benzylideneamino)phenol 
Assign. Shift(ppm)
A 9.54 B 8.623 C 7.914 D 7.500 E 7.230 F 6.842
Hz ppm Int.3815.46 9.548 1000 3446.50 8.624 689 3171.69 7.937 39 3168.03 7.928 244 3166.50 7.924 177 3164.22 7.918 288 3162.84 7.915 228 3160.71 7.909 264 3158.26 7.903 270 3155.98 7.897 54 3154.60 7.894 38 3000.34 7.508 518 2998.96 7.504 312 2996.83 7.499 580 2993.77 7.491 586 2990.11 7.482 71 2897.49 7.251 69 2894.29 7.243 615 2892.15 7.237 197 2887.73 7.226 212 2885.59 7.221 677 2882.23 7.212 71 2742.00 6.862 81 2738.65 6.853 685 2736.51 6.848 208 2732.09 6.837 203 2729.95 6.831 613 2726.59 6.823 60
更多供应商





