图谱信息 供应商 相关产品
网站主页CAS数据库列表 58809-90-8更多图谱2-硝基苯甲醛甲苯磺酰腙(58809-90-8)红外图谱(IR2)

2-硝基苯甲醛甲苯磺酰腙

产品名称 2-硝基苯甲醛甲苯磺酰腙

CAS号58809-90-8

分子式C14H13N3O4S

分子量319.34


  • Mass

    MS-IW-0830          
    o-nitrobenzaldehyde tosylhydrazone
    C14H13N3O4S         (Mass of molecular ion:    319)
    

       Source Temperature: 180 °C
       Sample Temperature: 210 °C
       Direct, 75 eV
    

          17.0       1.1
          18.0       6.2
          27.0       2.3
          28.0      11.4
          29.0       1.1
          30.0       4.3
          37.0       1.2
          38.0       2.5
          39.0      11.2
          40.0       1.1
          41.0       3.8
          44.0       4.3
          45.0       3.2
          48.0       2.2
          50.0       7.9
          51.0      34.7
          52.0      10.9
          53.0       2.0
          61.0       1.7
          62.0       4.7
          63.0      13.3
          64.0      15.7
          65.0      39.4
          66.0       3.5
          67.0       4.5
          69.0       1.1
          74.0       2.1
          75.0       2.2
          76.0       6.2
          77.0      35.9
          78.0      10.6
          79.0      13.4
          80.0       3.7
          85.0       1.0
          86.0       1.1
          87.0       1.1
          89.0       7.9
          90.0       5.1
          91.0     100.0
          92.0      58.3
          93.0       6.9
          95.0       1.2
         104.0       1.8
         105.0       6.1
         106.0       4.9
         107.0      12.2
         108.0       8.2
         109.0       1.4
         111.0       2.9
         119.0       2.9
         120.0       1.9
         121.0       3.8
         122.0       1.7
         123.0       3.3
         124.0       6.0
         135.0       7.7
         136.0       6.6
         137.0       1.5
         139.0      33.8
         140.0       6.7
         141.0       2.1
         155.0       1.6
         156.0      35.2
         157.0       3.6
         158.0       1.9
         163.0       9.0
         214.0       1.3
    

400 MHz in DMSO-d6


  • 1H NMR 399.65 MHz
    C14 H13 N3 O4 S 0.038 g : 0.5 ml DMSO-d6
    o-nitrobenzaldehyde tosylhydrazone
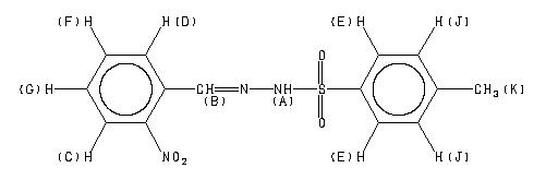
    ChemicalStructure
        Assign.     Shift(ppm)
    A 12.0 B 8.318 C 8.031 D 7.847 E 7.805 F 7.762 G 7.643 J 7.441 K 2.377

         Hz     ppm     Int.
    

       4773.87  11.946     96
       3324.29   8.319    465
       3214.57   8.044    170
       3213.66   8.042    174
       3206.33   8.023    195
       3205.41   8.021    187
       3141.85   7.862    115
       3140.39   7.858    125
       3133.98   7.842    190
       3132.51   7.839    184
       3125.74   7.822     71
       3123.72   7.817    379
       3122.07   7.813    140
       3117.13   7.800    150
       3115.48   7.796    431
       3110.17   7.783     91
       3109.43   7.781     93
       3102.84   7.764    155
       3102.11   7.763    147
       3101.56   7.761    147
       3094.96   7.745     79
       3094.23   7.743     76
       3093.68   7.741     69
       3062.54   7.664    116
       3061.08   7.660    125
       3055.22   7.645    117
       3054.48   7.643    140
       3053.75   7.642    134
       3053.02   7.640    128
       3047.16   7.625     86
       3045.51   7.621     83
       2978.65   7.454    284
       2977.92   7.452    325
       2970.04   7.432    297
       2969.31   7.430    261
        950.27   2.378   1000
    

in DMSO-d6



KBr disc



nujol mull