-
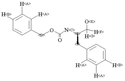
MS-KW-0564 N-benzyloxycarbonyl-D-phenylalaninol C17H19NO3 (Mass of molecular ion: 271)
Source Temperature: 160 °C Sample Temperature: 150 °C Direct, 75 eV
15.0 3.2 18.0 3.3 27.0 3.5 28.0 3.7 29.0 2.3 30.0 1.2 31.0 1.4 38.0 2.1 39.0 10.4 40.0 1.1 41.0 2.7 42.0 31.7 43.0 5.9 44.0 1.4 50.0 6.4 51.0 15.1 52.0 4.3 53.0 3.7 53.5 1.2 54.0 1.2 58.0 6.9 62.0 2.2 63.0 6.2 64.0 1.7 65.0 16.6 66.0 1.3 74.0 2.1 75.0 1.4 76.0 1.5 77.0 27.9 78.0 10.0 79.0 45.6 80.0 4.5 85.0 3.8 86.0 71.5 87.0 3.1 89.0 5.8 90.0 5.8 91.0 100.0 92.0 97.1 93.0 7.3 103.0 2.9 104.0 1.9 105.0 6.8 106.0 2.1 107.0 32.2 108.0 39.7 109.0 3.1 115.0 2.7 116.0 2.0 117.0 1.7 118.0 1.0 133.0 1.4 134.0 6.2 150.0 3.7 177.0 6.4 178.0 1.1 194.0 3.4
400 MHz in CDCl3
-
1H NMR 399.65 MHz C17H19NO3 0.038 g : 0.5 ml CDCl3 N-benzyloxycarbonyl-D-phenylalaninol 
Assign. Shift(ppm)
A 7.31 to 7.26 B 7.19 C 5.18 D 5.041 E 3.925 F *1 3.620 G *1 3.521 J 2.827 K 2.74
Hz ppm Int.2936.65 7.346 96 2934.09 7.340 138 2928.23 7.325 298 2926.88 7.322 269 2924.93 7.317 258 2921.03 7.307 775 2919.19 7.302 521 2917.61 7.298 418 2913.21 7.287 650 2904.42 7.265 506 2896.98 7.247 331 2891.61 7.233 197 2885.87 7.219 216 2878.79 7.201 278 2872.93 7.187 309 2866.34 7.170 212 2072.76 5.185 77 2063.60 5.162 63 2015.26 5.041 1000 2002.32 5.009 26 1568.97 3.925 76 1451.91 3.632 69 1443.85 3.612 104 1410.53 3.529 87 1403.20 3.510 62 1133.31 2.835 229 1126.84 2.819 233 1093.02 2.735 68
更多供应商





