-
MS-NW-2216 N,N-diethylnicotinamide C10H14N2O (Mass of molecular ion: 178)
Source Temperature: 270 °C Sample Temperature: 170 °C Reservoir, 75 eV
18.0 1.2 27.0 3.9 28.0 2.7 29.0 5.1 42.0 2.7 44.0 1.7 50.0 2.8 51.0 13.8 52.0 2.3 56.0 1.9 72.0 3.0 77.0 1.1 78.0 35.1 79.0 3.1 105.0 1.0 106.0 100.0 107.0 6.9 135.0 1.4 150.0 5.5 151.0 1.1 163.0 3.8 177.0 31.0 178.0 16.0 179.0 1.8
90 MHz in CDCl3
-
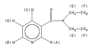
1H NMR 89.56 MHz C10 H14 N2 O 0.04 ml : 0.5 ml CDCl3 N,N-diethylnicotinamide 
Assign. Shift(ppm)
A 8.65 B 8.64 C 7.718 D 7.357 E 3.42 F 1.20
Hz ppm Int.777.50 8.682 570 775.69 8.662 969 774.00 8.643 770 773.00 8.632 915 770.88 8.608 651 697.94 7.793 317 696.19 7.774 418 695.81 7.770 354 694.00 7.749 321 690.13 7.706 504 688.38 7.687 622 687.94 7.682 576 686.19 7.662 476 664.81 7.424 524 663.88 7.413 520 659.94 7.369 491 659.06 7.359 714 657.00 7.336 354 656.06 7.326 341 652.13 7.282 326 651.19 7.271 332 308.25 3.442 275 123.63 1.381 69 114.25 1.276 600 111.94 1.250 536 111.63 1.247 542 107.50 1.201 1000 101.00 1.128 565 94.94 1.061 154 92.00 1.028 88 91.44 1.021 78
更多供应商






