图谱信息 供应商 相关产品
网站主页CAS数据库列表 59-30-3更多图谱叶酸(59-30-3)红外图谱(IR1)

叶酸

产品名称 叶酸

CAS号59-30-3

分子式C19H19N7O6

分子量441.4

展开


  • Mass

    MS-NW-0304          
    folic acid
    C19H19N7O6          (Mass of molecular ion:    441)
    

       Source Temperature: 220 °C
       Sample Temperature: 300 °C
       Direct, 75 eV
    

          12.0       1.3
          14.0       1.3
          15.0       3.0
          16.0       5.4
          17.0      11.1
          18.0      46.3
          20.0       8.6
          26.0       9.5
          27.0      23.4
          28.0      54.6
          29.0      11.8
          30.0       3.8
          31.0       9.4
          32.0       6.2
          33.0       1.4
          34.0       2.9
          35.0       2.1
          36.0      18.3
          37.0       4.5
          38.0       7.9
          39.0      26.9
          40.0       9.9
          41.0      47.1
          42.0      18.9
          43.0      27.0
          44.0     100.0
          44.5       1.1
          45.0       5.7
          45.5       1.7
          46.0       2.1
          46.5       3.2
          47.0       1.4
          49.0       1.2
          50.0       5.5
          51.0       9.0
          52.0       9.6
          53.0      10.7
          54.0      15.7
          55.0      25.5
          56.0      18.1
          57.0      19.9
          58.0       1.9
          59.0       2.7
          60.0       8.3
          61.0       4.8
          62.0       5.3
          63.0      10.5
          64.0       8.4
          65.0      26.4
          66.0      26.6
          67.0      11.9
          68.0       7.6
          69.0      13.6
          70.0       9.5
          71.0      10.6
          72.0       2.8
          73.0       7.4
          74.0       3.7
          75.0       3.0
          76.0       4.4
          77.0       8.0
          78.0       6.0
          79.0       6.4
          80.0       8.7
          81.0       8.9
          82.0       8.0
          83.0      14.3
          83.5       1.0
          84.0      99.5
          85.0       8.1
          86.0       2.4
          87.0       2.5
          88.0       2.9
          89.0       3.2
          90.0       4.9
          91.0      15.7
          92.0      25.5
          93.0      68.5
          94.0       8.4
          95.0       8.5
          96.0       5.3
          97.0       8.3
          98.0       9.1
          99.0       3.4
         100.0       3.3
         101.0       3.6
         102.0       2.5
         103.0       3.7
         104.0       3.1
         105.0       6.2
         106.0       6.4
         107.0      12.1
         108.0       7.0
         109.0       6.4
         110.0       3.8
         111.0       4.9
         112.0       3.5
         113.0       2.9
         114.0       2.6
         115.0       3.6
         116.0       2.5
         117.0       4.4
         118.0      12.5
         119.0      12.4
         120.0      37.6
         121.0       6.6
         122.0       5.9
         123.0       3.9
         124.0       2.5
         125.0       3.1
         126.0       3.8
         127.0      12.6
         128.0      26.0
         129.0       5.7
         130.0       3.5
         131.0       3.3
         132.0       2.9
         133.0       4.2
         134.0       5.3
         135.0       5.1
         136.0       7.5
         137.0      30.6
         138.0       3.8
         139.0       3.1
         140.0       1.7
         141.0       2.9
         142.0       1.9
         143.0       2.3
         144.0       2.7
         145.0       2.7
         146.0       3.0
         147.0       2.8
         148.0       2.1
         149.0       3.7
         150.0       8.7
         151.0       3.9
         152.0       3.1
         153.0       2.0
         154.0       2.0
         155.0       1.4
         156.0       1.3
         157.0       1.8
         158.0       2.8
         159.0       3.8
         160.0       1.8
         161.0       2.6
         162.0       2.4
         163.0       3.5
         164.0       1.9
         165.0       2.8
         166.0       2.3
         167.0       5.0
         168.0       4.3
         169.0       5.7
         170.0       1.7
         171.0       1.8
         172.0       1.6
         173.0       1.3
         174.0       1.7
         175.0       2.7
         176.0       3.4
         177.0      44.4
         178.0      12.3
         179.0       3.7
         180.0       2.9
         181.0       1.9
         182.0       2.3
         183.0       1.7
         184.0       2.4
         185.0       2.1
         186.0       2.9
         187.0       1.7
         188.0       1.4
         189.0       2.2
         190.0       2.3
         191.0       2.4
         192.0       2.6
         193.0       2.1
         194.0       3.6
         195.0       2.5
         196.0       1.9
         197.0       1.7
         198.0       1.7
         199.0       1.5
         200.0       2.6
         201.0       2.2
         202.0       8.1
         203.0       5.0
         204.0       3.8
         205.0       2.3
         206.0       2.9
         207.0       3.0
         208.0       2.2
         209.0       1.7
         210.0       1.8
         211.0       3.0
         212.0       2.0
         213.0       1.8
         214.0       1.2
         215.0       1.8
         216.0       1.8
         217.0       2.1
         218.0       2.1
         219.0       1.8
         220.0       1.8
         221.0       2.1
         222.0       1.6
         223.0       1.5
         224.0       1.5
         225.0       1.4
         226.0       1.1
         228.0       1.7
         229.0       1.4
         230.0       1.1
         231.0       1.4
         232.0       1.1
         233.0       1.0
         234.0       1.4
         235.0       1.1
         236.0       1.7
         237.0       1.0
         238.0       1.4
         239.0       1.1
         240.0       1.1
         241.0       1.3
         242.0       1.2
         243.0       1.3
         245.0       6.6
         246.0       1.7
         247.0       1.1
         248.0       1.3
         250.0       1.1
         251.0       1.0
         252.0       1.0
         253.0       1.3
         256.0       1.5
         262.0       1.4
         263.0       9.7
         264.0       1.4
         266.0       1.1
         267.0       1.0
         278.0       1.7
         279.0       1.1
         281.0       1.1
         294.0       1.0
         295.0       1.2
         354.0       1.2
         355.0       1.1
         364.0       1.5
         368.0       1.0
         389.0       1.0
    

400 MHz in DMSO-d6


  • 1H NMR 399.65 MHz
    C19 H19 N7 O6 0.039 g : 0.5 ml DMSO-d6
    folic acid
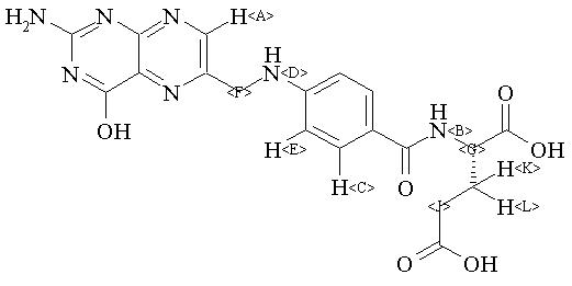
    ChemicalStructure
        Assign.     Shift(ppm)
    A 8.675 B 8.17 C 7.678 D 6.98 E 6.668 F 4.514 G 4.359 J 2.344 K *1 2.077 L *1 1.939

         Hz     ppm     Int.
    

       3467.02   8.676   1000
       3271.50   8.186    313
       3263.81   8.167    315
       3073.20   7.690    717
       3064.44   7.668    761
       2787.51   6.975    333
       2669.56   6.680    726
       2660.79   6.658    722
       1806.91   4.522    519
       1801.36   4.508    514
       1749.00   4.377    138
       1746.01   4.369    164
       1744.52   4.366    184
       1741.53   4.358    174
       1739.82   4.354    168
       1739.39   4.353    168
       1736.82   4.346    147
        944.91   2.365    301
        937.65   2.347    655
        930.17   2.328    374
        832.73   2.084    139
        825.03   2.065    165
        773.96   1.937    143
    

in DMSO-d6



KBr disc



nujol mull