图谱信息 供应商 相关产品
网站主页CAS数据库列表 59-48-3更多图谱2-吲哚酮(59-48-3)Raman光谱

2-吲哚酮

产品名称 2-吲哚酮

CAS号59-48-3

分子式C8H7NO

分子量133.15

展开


  • Mass

    MS-IW-9308          
    2-indolinone
    C8H7NO              (Mass of molecular ion:    133)
    

       Source Temperature: 220 °C
       Sample Temperature: 150 °C
       Reservoir, 75 eV
    

          18.0       1.7
          26.0       1.0
          27.0       2.5
          28.0       3.4
          37.0       1.8
          38.0       3.7
          39.0       6.6
          43.0       2.3
          50.0       8.0
          51.0      15.9
          51.5       3.4
          52.0      14.6
          52.5       7.6
          53.0       2.1
          61.0       1.2
          62.0       1.9
          63.0       4.6
          64.0       1.7
          65.0       1.0
          66.5       5.7
          67.0       1.7
          74.0       1.7
          75.0       2.0
          76.0       4.0
          77.0      15.6
          78.0      37.5
          79.0       3.0
          89.0       4.3
          90.0       1.9
         102.0       1.0
         103.0       1.8
         104.0      74.0
         105.0      46.8
         106.0       3.7
         132.0       5.1
         133.0     100.0
         134.0       9.8
    

400 MHz in DMSO-d6


  • 1H NMR 399.65 MHz
    C8 H7 N O 0.036 g : 0.5 ml DMSO-d6
    2-indolinone
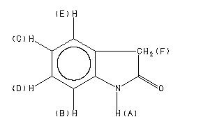
    ChemicalStructure
        Assign.     Shift(ppm)
    A 10.4 B 7.20 C 7.16 D 6.928 E 6.826 F 3.463

         Hz     ppm     Int.
    

       4146.27  10.375    140
       2880.71   7.209    223
       2880.10   7.207    219
       2872.62   7.188    349
       2867.89   7.177     24
       2864.84   7.169    278
       2863.62   7.166    253
       2857.21   7.150    159
       2855.99   7.147    149
       2776.34   6.947    187
       2775.27   6.945    210
       2768.55   6.928    304
       2767.79   6.926    323
       2761.23   6.910    149
       2760.31   6.907    153
       2731.48   6.835    326
       2724.15   6.817    294
       2723.69   6.816    292
       1383.97   3.463   1000
    

KBr disc



nujol mull