图谱信息 供应商 相关产品
网站主页CAS数据库列表 59-50-7更多图谱4-氯-3-甲基苯酚(59-50-7)核磁图(13CNMR)

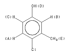
4-氯-3-甲基苯酚

产品名称 4-氯-3-甲基苯酚

CAS号59-50-7

分子式C7H7ClO

分子量142.58

展开



  •     Assign.     Shift(ppm)
    A 7.152 B 6.688 C 6.600 D 5.15 E 2.289 J(A,C)=8.4HZ J(B,C)=3.1HZ J(B,A)=J(B,E)=0.7HZ J(C,E)=0.5HZ 400MHZ : HSP-43-728
    Spectral Code: 1H NMR : 90 MHz in CDCl3



  •        ppm   Int.  Assign.
    153.46 915 1 137.52 711 2 129.92 1000 3 126.30 522 4 117.88 826 5 114.17 826 6 20.07 512 7
    Spectral Code: 13C NMR : in CDCl3




  • Spectral Code: Raman : 4880 A,100M,powder