图谱信息 供应商 相关产品
网站主页CAS数据库列表 59-67-6更多图谱烟酸(59-67-6)红外图谱(IR2)

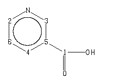
烟酸

产品名称 烟酸

CAS号59-67-6

分子式C6H5NO2

分子量123.11

展开



  •     Assign.     Shift(ppm)
    A 13.5 B 9.129 C 8.832 D 8.315 E 7.581
    Spectral Code: 1H NMR : 400 MHz in DMSO-d6



  •        ppm   Int.  Assign.
    166.23 315 1 153.18 888 2 150.21 906 3 136.90 1000 4 126.66 106 5 123.71 418 6
    Spectral Code: 13C NMR : in DMSO-d6








  • Spectral Code: ESR : UV IRRAD. OF NA SALT IN H2O RICH MIXED SOLV.