图谱信息 供应商 相关产品
网站主页CAS数据库列表 590-00-1更多图谱山梨酸钾(590-00-1)红外图谱(IR1)

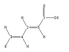
山梨酸钾

产品名称 山梨酸钾

CAS号590-00-1

分子式C6H7KO2

分子量150.22

展开



  •     Assign.     Shift(ppm)
    A 6.987 B 6.253 C 6.143 D 5.826 E 1.813 J(A,B)=10.6HZ J(A,D)=15.4HZ J(B,C)=15.1HZ J(B,D)=-0.7HZ J(B,E)=-1.5HZ J(C,E)=6.7HZ
    Spectral Code: 1H NMR : 400 MHz in D2O



  •        ppm   Int.  Assign.
    177.01 587 1 142.62 960 2 138.59 1000 3 130.66 900 4 125.63 896 5 18.71 493 6 ASSIGNED BY C-H COSY.
    Spectral Code: 13C NMR : in D2O


  • Spectral Code: IR : nujol mull