400 MHz in DMSO-d6
90 MHz in DMSO-d6
-
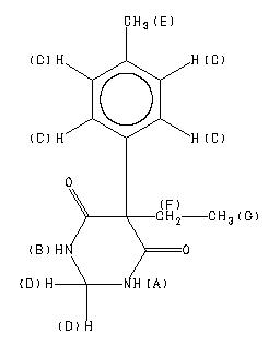
1H NMR 399.65 MHz C13 H16 N2 O2 0.038 g : 0.5 ml DMSO-d6 5-ethyl-5-(p-tolyl)-2,3-dihydro-4,6(1H,5H)-pyrimidinedione 
Assign. Shift(ppm)
A *1 8.69 B *1 8.67 C 7.17 D 7.16 E *2 4.078 F *2 3.931 G 2.272 J 1.941 K 0.849
Hz ppm Int.3471.22 8.686 181 3466.34 8.674 176 2875.06 7.194 62 2872.16 7.187 36 2866.06 7.172 651 2864.07 7.167 733 2861.18 7.160 73 2858.12 7.152 47 2856.29 7.147 63 2855.22 7.145 79 1641.85 4.109 31 1636.51 4.095 65 1631.16 4.082 53 1630.10 4.079 62 1624.91 4.066 90 1619.72 4.053 44 1576.23 3.945 138 1564.48 3.915 99 908.36 2.273 1000 786.74 1.969 56 779.57 1.951 200 772.55 1.934 208 765.53 1.916 65 346.53 0.868 240 339.51 0.850 566 332.34 0.832 225
-
1H NMR 89.56 MHz C13 H16 N2 O2 0.047 g : 0.5 ml DMSO-d6 5-ethyl-5-(p-tolyl)-2,3-dihydro-4,6(1H,5H)-pyrimidinedione 
Assign. Shift(ppm)
A *1 8.65 B *1 8.61 C 7.17 D 4.27 to 3.80 E 2.272 F 1.95 G 0.854
Hz ppm Int.775.00 8.654 81 773.50 8.637 70 772.19 8.623 77 771.38 8.613 81 641.81 7.167 1000 366.75 4.096 32 361.81 4.040 57 356.25 3.978 88 203.50 2.273 602 178.25 1.991 88 171.19 1.912 102 164.69 1.839 37 83.00 0.927 116 76.13 0.851 243 72.06 0.805 30 71.56 0.800 30 68.88 0.770 85
更多供应商




