-
MS-NW-0750 m-methoxybenzaldehyde C8H8O2 (Mass of molecular ion: 136)
Source Temperature: 220 °C Sample Temperature: 150 °C Reservoir, 75 eV
18.0 1.1 27.0 1.0 28.0 2.6 29.0 2.3 37.0 1.6 38.0 4.5 39.0 10.3 50.0 6.8 51.0 8.2 52.0 1.2 53.0 1.4 61.0 1.3 62.0 3.3 63.0 10.4 64.0 10.3 65.0 16.4 66.0 1.2 74.0 3.1 75.0 2.4 76.0 4.3 77.0 29.9 78.0 7.7 79.0 3.6 92.0 14.7 93.0 2.8 105.0 3.1 106.0 1.2 107.0 33.7 108.0 4.8 135.0 88.0 136.0 100.0 137.0 9.0 138.0 1.0
90 MHz in CDCl3
-
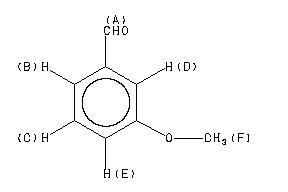
1H NMR 89.56 MHz C8 H8 O2 0.04 ml : 0.5 ml CDCl3 m-methoxybenzaldehyde 
Assign. Shift(ppm)
A 9.966 B 7.44 C 7.44 D 7.37 E 7.18 F 3.852
Hz ppm Int.892.52 9.966 390 669.41 7.475 113 668.98 7.470 97 668.38 7.463 105 665.65 7.433 83 664.54 7.421 162 663.51 7.409 175 662.06 7.393 79 660.86 7.379 86 659.92 7.369 85 658.98 7.358 43 650.70 7.266 23 647.19 7.227 72 644.46 7.196 49 643.09 7.181 43 641.98 7.169 33 639.59 7.142 38 638.31 7.128 27 635.14 7.092 25 344.96 3.852 1000
更多供应商






