parameter in CDCl3
-
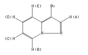
1H NMR 300 MHz C7 H5 Br N2 8 % in CDCl3 3-bromopyrazolo(1,5-a)pyridine 
Parameter ppm Hz
D(A) 7.92 D(B) 8.38 D(C) 7.12 D(D) 7.28 D(E) 7.48 J(A,B) 0.0 J(A,C) 0.0 J(A,D) 0.5 J(A,E) 0.0 J(B,C) 7.0 J(B,D) 1.2 J(B,E) 1.2 J(C,D) 6.8 J(C,E) 1.6 J(D,E) 8.3 PAUDLER,W.W. & DUNHAM,D.E. J.HETEROCYCL.CHEM. 2, 410 (1965)
Hz ppm Int.2518.72 8.396 208 2517.52 8.392 379 2516.32 8.388 212 2511.75 8.372 218 2510.56 8.369 393 2509.36 8.365 219 2375.87 7.920 1000 2249.83 7.499 176 2248.32 7.494 248 2247.03 7.490 181 2241.57 7.472 232 2240.06 7.467 328 2238.76 7.463 235 2191.88 7.306 147 2191.08 7.304 150 2185.09 7.284 205 2183.97 7.280 273 2182.88 7.276 134 2176.85 7.256 152 2176.02 7.253 148 2143.41 7.145 221 2141.78 7.139 218 2136.52 7.122 354 2134.90 7.116 345 2129.67 7.099 164 2128.04 7.093 157
更多供应商

