-
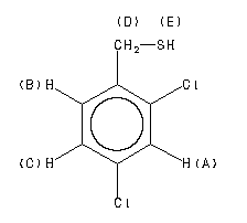
MS-IW-4769 (2,4-dichlorophenyl)methanethiol C7H6Cl2S (Mass of molecular ion: 192)
Source Temperature: 210 °C Sample Temperature: 150 °C Reservoir, 75 eV
39.0 1.6 45.0 9.5 50.0 1.4 51.0 1.2 59.0 1.0 60.0 6.5 60.5 1.1 61.0 1.6 62.0 2.7 63.0 4.7 69.0 1.2 73.0 3.2 74.0 1.3 75.0 2.5 77.0 1.2 78.0 1.8 86.0 1.1 87.0 1.3 89.0 6.3 96.0 1.0 97.0 1.8 99.0 2.1 111.0 1.5 121.0 1.2 123.0 9.0 124.0 4.1 125.0 4.4 126.0 1.4 133.0 1.9 135.0 1.1 155.0 1.8 156.0 1.1 157.0 1.0 159.0 100.0 160.0 8.4 161.0 64.7 162.0 5.3 163.0 10.5 189.0 1.3 191.0 1.5 192.0 24.7 193.0 2.7 194.0 17.0 195.0 1.5 196.0 3.3
更多供应商




