400 MHz in CDCl3
-
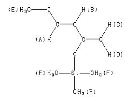
1H NMR 399.65 MHz C8 H16 O2 Si 0.05 ml : 0.5 ml CDCl3 1-methoxy-3-trimethylsiloxy-1,3-butadiene 
Assign. Shift(ppm)
A 6.831 B 5.350 C *1 4.105 D *1 4.065 E 3.577 F 0.230
Hz ppm Int.2736.69 6.848 83 2724.37 6.817 86 2144.41 5.366 111 2132.08 5.335 106 1640.87 4.106 142 1624.88 4.066 137 1429.57 3.578 495 100.95 0.253 40 95.34 0.239 234 92.04 0.231 1000 88.50 0.222 142 84.84 0.213 35
更多供应商


