400 MHz in DMSO-d6
-
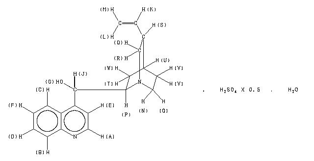
1H NMR 399.65 MHz C19 H22 N2 O saturated in DMSO-d6 cinchonine sulfate 
Assign. Shift(ppm)
A 8.904 B 8.382 C 8.037 D 7.729 E 7.670 F 7.596 G 6.6 J 6.14 K 6.042 L 5.18 M 5.17 N *1 3.84 P 3.43 Q *1 3.31 R *1 3.08 S 2.55 T *2 2.16 U 1.85 V 1.69 W *2 1.115 ASSIGNED BY C-H COSY
Hz ppm Int.3560.94 8.911 877 3556.37 8.899 836 3354.34 8.394 417 3345.95 8.373 442 3216.71 8.049 500 3208.31 8.028 586 3097.84 7.752 273 3089.75 7.732 478 3082.43 7.713 333 3081.51 7.711 320 3067.78 7.677 672 3063.20 7.665 670 3043.52 7.616 315 3035.28 7.595 455 3028.26 7.578 245 3027.34 7.575 225 2453.61 6.140 400 2433.47 6.090 160 2426.30 6.072 176 2423.71 6.065 141 2416.08 6.046 230 2409.67 6.030 141 2408.29 6.026 142 2405.85 6.020 195 2398.68 6.002 183 2080.69 5.207 480 2074.28 5.191 500 2063.75 5.164 1000 1554.72 3.891 109 1546.33 3.870 205 1545.87 3.869 205 1537.32 3.847 243 1536.87 3.846 246 1535.64 3.843 248 1535.03 3.841 248 1534.27 3.840 247 1525.73 3.818 221 1517.79 3.798 109 1378.94 3.451 187 1377.87 3.448 184 1377.26 3.447 181 1374.21 3.439 146 1369.32 3.427 310 1368.71 3.425 308 1363.53 3.412 148 1359.56 3.402 198 1359.10 3.401 198 1358.64 3.400 199 1358.18 3.399 198 1351.93 3.383 86 1350.86 3.381 84 1350.10 3.379 84 1332.70 3.335 279 1322.48 3.310 375 1322.02 3.308 376 1313.93 3.288 187 1313.17 3.286 184 1310.27 3.279 207 1244.51 3.115 120 1244.05 3.113 118 1239.93 3.103 88 1235.20 3.091 199 1223.30 3.061 183 1219.18 3.051 79 1214.29 3.039 89 1213.68 3.037 92 1031.80 2.582 85 1031.19 2.581 86 1023.41 2.561 202 1022.95 2.560 203 1014.25 2.538 198 875.55 2.191 154 875.09 2.190 153 870.51 2.179 80 864.87 2.165 206 863.80 2.162 208 863.19 2.160 207 857.09 2.145 83 852.81 2.134 162 739.59 1.851 339 681.76 1.706 322 681.30 1.705 324 672.45 1.683 429 664.98 1.664 199 664.37 1.663 197 459.75 1.151 90 459.29 1.150 91 455.02 1.139 107 453.64 1.136 103 449.37 1.125 129 446.01 1.117 193 442.35 1.107 131 441.89 1.106 128 438.39 1.097 110 437.77 1.096 113 433.20 1.084 103 432.43 1.083 102
更多供应商




