图谱信息 供应商 相关产品
网站主页CAS数据库列表 596-27-0更多图谱邻甲酚酞(596-27-0)质谱(MS)

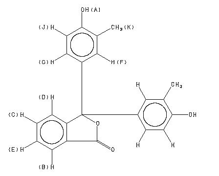
邻甲酚酞

产品名称 邻甲酚酞

CAS号596-27-0

分子式C22H18O4

分子量346.38

展开


  • Mass

    MS-NW-0388          
    o-cresolphthalein
    C22H18O4            (Mass of molecular ion:    346)
    

       Source Temperature: 170 °C
       Sample Temperature: 170 °C
       Direct, 75 eV
    

          18.0       1.3
          28.0       1.0
          39.0       2.2
          51.0       2.3
          52.0       1.0
          53.0       1.6
          55.0       1.5
          63.0       1.4
          75.0       1.4
          76.0       4.3
          77.0       8.4
          78.0       1.6
          79.0       2.5
          88.0       1.0
          89.0       1.0
          91.0       1.2
          94.5       1.0
         101.0       2.0
         104.0       4.6
         105.0       2.5
         106.5       1.1
         107.0       3.9
         108.0       1.2
         113.0       2.8
         115.0       2.0
         119.0       1.2
         119.5       2.6
         120.0       1.2
         121.0       1.0
         125.0       1.1
         126.0       1.3
         127.0       1.4
         128.0       1.6
         129.0       1.0
         133.0       1.1
         134.0       2.2
         135.0      15.0
         136.0       2.1
         139.0       1.8
         141.0       1.0
         143.0       1.7
         143.5       2.4
         150.0       1.4
         151.0       1.7
         152.0       4.0
         153.0       2.4
         155.0       1.4
         163.0       1.4
         164.0       2.5
         165.0       7.4
         166.0       2.2
         168.0       3.0
         169.0       1.0
         173.0       4.7
         176.0       1.1
         178.0       1.0
         181.0       2.9
         182.0       1.3
         183.0       1.0
         189.0       1.8
         194.0       2.7
         195.0       8.3
         196.0       2.0
         202.0       2.8
         203.0       1.0
         210.0       1.0
         211.0      11.6
         212.0       2.0
         213.0       1.8
         214.0       1.7
         215.0       2.8
         225.0       1.6
         226.0       2.7
         227.0       1.5
         228.0       1.4
         229.0       1.2
         231.0       1.2
         238.0       1.2
         239.0      41.3
         240.0       7.7
         241.0       1.8
         242.0       1.2
         244.0       1.5
         245.0       1.1
         255.0       2.2
         256.0       1.1
         257.0       2.1
         258.0       2.5
         259.0       1.0
         269.0       1.6
         271.0       2.3
         272.0       1.2
         273.0       1.0
         285.0      14.2
         286.0       3.9
         287.0     100.0
         288.0      22.3
         289.0       3.1
         301.0      19.6
         302.0      43.1
         303.0      10.0
         304.0       1.3
         317.0       1.2
         329.0       1.1
         331.0       5.4
         332.0       1.4
         345.0       3.0
         346.0      55.5
         347.0      13.5
         348.0       2.1
    

400 MHz in DMSO-d6


  • 1H NMR 399.65 MHz
    C22 H18 O4 0.037 g : 0.5 ml DMSO-d6
    o-cresolphthalein
    ChemicalStructure
        Assign.     Shift(ppm)
    A 9.58 B 7.896 C 7.806 D 7.774 E 7.632 F 6.986 G 6.923 J 6.780 K 2.079

         Hz     ppm     Int.
    

       3828.43   9.580    483
       3159.48   7.906     83
       3151.86   7.887     99
       3121.95   7.812     75
       3120.88   7.810     60
       3115.08   7.795     79
       3114.01   7.792     69
       3108.98   7.780    109
       3102.26   7.763     38
       3101.50   7.761     43
       3057.71   7.651     50
       3056.49   7.648     46
       3050.69   7.634     66
       3049.93   7.632     72
       3043.06   7.615     43
       3041.84   7.612     36
       2793.12   6.989    169
       2790.99   6.984    194
       2772.67   6.938     99
       2770.23   6.932     79
       2764.28   6.917    127
       2761.84   6.911    111
       2713.17   6.789    246
       2704.77   6.768    194
        830.99   2.080   1000
    

in DMSO-d6



KBr disc



nujol mull