图谱信息 供应商 相关产品
网站主页CAS数据库列表 5965-83-3更多图谱5-磺基水杨酸(5965-83-3)Raman光谱

5-磺基水杨酸

产品名称 5-磺基水杨酸

CAS号5965-83-3

分子式C7H10O8S

分子量254.21

展开



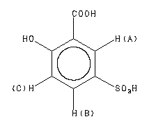
  •     Assign.     Shift(ppm)
    A 8.304 B 7.925 C 7.081 THE SOLVENT SIGNAL REMOVED.
    Spectral Code: 1H NMR : 90 MHz in D2O



  •        ppm   Int.  Assign.
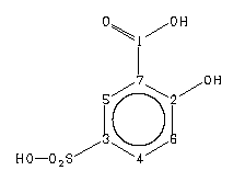
    172.10 576 1 162.97 752 2 135.05 736 3 133.70 848 4 129.27 856 5 118.71 1000 6 113.27 632 7
    Spectral Code: 13C NMR : in D2O


  • Spectral Code: IR : nujol mull