图谱信息 供应商 相关产品
网站主页CAS数据库列表 59665-02-0更多图谱N-[(N-亚硝基甲氨基)甲基]苯甲酰胺(59665-02-0)红外图谱(IR1)

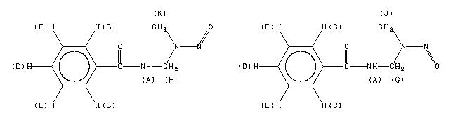
N-[(N-亚硝基甲氨基)甲基]苯甲酰胺

产品名称 N-[(N-亚硝基甲氨基)甲基]苯甲酰胺

CAS号59665-02-0

分子式C9H11N3O2

分子量193.2

展开


  • Mass

    MS-NW-6330          
    N-((methylnitrosoamino)methyl)benzamide
    C9H11N3O2           (Mass of molecular ion:    193)
    

       Source Temperature: 160 °C
       Sample Temperature: 110 °C
       Direct, 75 eV
    

          13.0       1.1
          14.0       3.5
          15.0       2.3
          17.0       1.3
          18.0       6.2
          27.0       2.2
          28.0       4.7
          29.0       1.1
          30.0       2.0
          37.0       1.1
          38.0       1.7
          39.0       1.5
          42.0      11.9
          43.0       1.9
          50.0       8.8
          51.0      22.4
          52.0       1.5
          52.5       1.4
          60.0       2.1
          74.0       3.0
          75.0       2.1
          76.0       3.4
          77.0      59.3
          78.0       4.4
         103.0       1.4
         105.0     100.0
         106.0       8.2
         121.0       2.0
         133.0       2.6
         134.0      16.0
         135.0       1.6
    

400 MHz in CDCl3

90 MHz in CDCl3


  • 1H NMR 399.65 MHz
    C9 H11 N3 O2 0.053 g : 0.5 ml CDCl3
    N-((methylnitrosoamino)methyl)benzamide
    ChemicalStructure
        Assign.     Shift(ppm)
    A 8.10 B *1 7.939 C *1 7.777 D 7.55 E 7.46 F *2 5.800 G *2 5.033 J *3 3.954 K *3 3.133 90MHZ : HSP-03-084

         Hz     ppm     Int.
    

       3238.65   8.104     34
       3177.12   7.950    123
       3176.03   7.948    140
       3170.90   7.935     49
       3168.95   7.930    168
       3167.48   7.926    128
       3024.17   7.568     36
       3016.97   7.550     91
       3014.89   7.544     32
       3010.62   7.534     46
       3009.40   7.531     75
       3008.06   7.527     43
       2989.38   7.480     31
       2987.55   7.476    120
       2986.21   7.473     56
       2981.08   7.460    100
       2979.86   7.457    174
       2974.24   7.443     36
       2972.66   7.439     74
       2971.80   7.437     49
       2321.17   5.809    268
       2314.45   5.792    261
       1580.20   3.954     50
       1251.59   3.132   1000
    


  • 1H NMR 89.56 MHz
    C9 H11 N3 O2 0.046 g : 0.5 ml CDCl3
    N-((methylnitrosoamino)methyl)benzamide
    ChemicalStructure
        Assign.     Shift(ppm)
    A 8.13 B *1 7.93 C *1 7.78 D 7.57 to 7.36 E 5.795 F 5.030 G 3.939 J 3.120 400MHZ : HSP-41-739

         Hz     ppm     Int.
    

        715.06   7.985     74
        713.38   7.966     80
        711.56   7.946     40
        710.56   7.934     33
        709.75   7.925     32
        707.81   7.904     63
        706.63   7.891     33
        705.44   7.877    103
        676.19   7.551     35
        674.38   7.530     32
        672.94   7.514     79
        671.88   7.503    147
        670.94   7.492    137
        669.63   7.477     88
        668.56   7.465     81
        666.13   7.438     49
        665.06   7.426     50
        664.44   7.419     70
        664.06   7.415     66
        522.25   5.832    184
        515.56   5.757    173
        453.81   5.068     46
        447.19   4.994     44
        352.81   3.940    217
        279.50   3.121   1000
    

in CDCl3



KBr disc



nujol mull



4880 A,200 M,powder