-
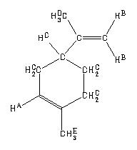
MS-NW-1514 (+)-limonene C10H16 (Mass of molecular ion: 136)
Source Temperature: 260 °C Sample Temperature: 170 °C Reservoir, 75 eV
27.0 9.3 28.0 1.0 29.0 5.6 39.0 15.6 40.0 5.8 41.0 19.3 42.0 2.9 43.0 3.5 50.0 1.3 51.0 4.6 52.0 2.4 53.0 17.1 54.0 1.6 55.0 7.1 63.0 1.6 65.0 4.9 66.0 2.9 67.0 44.7 68.0 100.0 69.0 9.1 77.0 11.7 78.0 3.0 79.0 22.8 80.0 11.1 81.0 10.9 82.0 2.4 91.0 12.7 92.0 18.8 93.0 59.1 94.0 22.6 95.0 7.6 105.0 4.4 106.0 1.4 107.0 17.1 108.0 4.9 119.0 1.4 121.0 19.5 122.0 1.9 136.0 22.6 137.0 2.7
400 MHz in CDCl3
90 MHz in CDCl3
-
1H NMR 399.65 MHz C10 H16 0.05 ml : 0.5 ml CDCl3 (+)-limonene 
Assign. Shift(ppm)
A 5.397 B 4.702 C 2.08 D *1 2.05 E 1.97 F *1 1.89 G 1.789 J 1.727 K 1.648 L 1.472 ASSIGNED BY C-H COSY
Hz ppm Int.2159.18 5.403 120 2157.84 5.400 128 2156.62 5.397 125 2154.30 5.391 119 1879.88 4.704 534 1878.91 4.702 614 850.95 2.130 36 848.27 2.123 36 839.11 2.100 132 832.28 2.083 106 829.47 2.076 97 827.03 2.070 69 824.46 2.063 98 822.27 2.058 83 820.19 2.053 118 819.09 2.050 122 817.63 2.046 108 816.16 2.043 97 814.45 2.038 89 811.04 2.030 57 809.94 2.027 55 808.96 2.025 53 805.30 2.016 50 804.32 2.013 51 803.22 2.010 49 802.25 2.008 45 801.51 2.006 44 800.54 2.004 42 799.68 2.001 39 798.71 1.999 33 789.06 1.975 81 786.99 1.970 83 784.42 1.963 81 782.96 1.960 82 778.69 1.949 32 774.29 1.938 64 772.46 1.933 85 771.00 1.930 79 768.68 1.924 68 766.24 1.918 73 764.16 1.913 68 763.06 1.910 61 760.74 1.904 63 758.42 1.898 70 756.10 1.892 57 753.91 1.887 37 752.20 1.883 37 728.39 1.823 32 726.07 1.817 64 723.63 1.811 67 720.58 1.804 67 718.38 1.798 64 715.82 1.792 64 713.38 1.786 83 711.43 1.781 78 710.57 1.778 76 708.13 1.772 82 705.69 1.766 71 703.25 1.760 35 691.41 1.731 779 690.31 1.728 1000 689.09 1.725 737 658.45 1.648 600 608.03 1.522 50 602.42 1.508 47 596.80 1.494 82 595.34 1.490 67 590.70 1.479 77 589.72 1.476 64 585.08 1.464 61 584.11 1.462 74 579.35 1.450 62 578.25 1.447 69 572.39 1.433 32 566.65 1.418 37
-
1H NMR 89.56 MHz C10 H16 0.04 ml : 0.5 ml CDCl3 (+)-limonene 
Assign. Shift(ppm)
A 5.40 B 4.70 C 2.37 to 1.19 D 1.729 E 1.65
Hz ppm Int.483.44 5.398 72 422.94 4.723 100 421.94 4.712 338 421.38 4.706 329 420.81 4.699 394 420.19 4.692 388 419.13 4.680 153 179.25 2.002 219 161.13 1.800 63 160.13 1.788 32 158.50 1.770 86 155.94 1.742 538 154.94 1.731 1000 153.88 1.719 595 151.88 1.696 125 148.69 1.661 410
更多供应商







