图谱信息 供应商 相关产品
网站主页CAS数据库列表 60-00-4更多图谱乙二胺四乙酸(60-00-4)Raman光谱

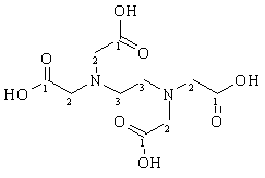
乙二胺四乙酸

产品名称 乙二胺四乙酸

CAS号60-00-4

分子式C10H16N2O8

分子量292.24

展开



  •     Assign.     Shift(ppm)
    A 3.5 B 3.466 C 2.776
    Spectral Code: 1H NMR : 400 MHz in DMSO-d6



  •        ppm   Int.  Assign.
    172.03 1000 1 54.66 617 2 51.33 278 3
    Spectral Code: 13C NMR : DMSO-d6


  • Spectral Code: IR : nujol mull