-
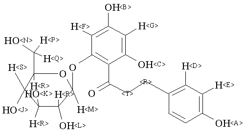
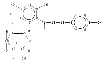
ppm Int. Assign.
204.63 277 1 165.29 295 2 * 164.34 292 3 * 160.74 272 4 155.16 352 5 131.44 337 6 129.07 880 7 114.89 1000 8 105.07 277 9 100.71 314 10 96.74 240 11 # 94.23 261 12 # 77.16 307 13 76.59 312 14 73.10 307 15 69.35 320 16 60.46 244 17 44.88 281 18 28.92 293 19Spectral Code: 13C NMR : in DMSO-d6
更多供应商




