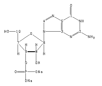
鸟苷-2'-(3')单磷酸二钠盐
产品名称
鸟苷-2'-(3')单磷酸二钠盐
CAS号6027-83-4
分子式C10H12N5Na2O8P
分子量407.18
InChIInChI=1/C10H14N5O8P.2Na/c11-10-13-7-4(8(18)14-10)12-2-15(7)9-5(17)6(3(1-16)22-9)23-24(19,20)21;;/h2-3,5-6,9,16-17H,1H2,(H2,19,20,21)(H3,11,13,14,18);;/q;2*+1/p-2/t3-,5-,6-,9-;;/s3
InChIKeyQFYOUTHOUPZZES-NGPBCCOENA-L
SmilesN1(C=NC2C(=O)NC(N)=NC1=2)[C@@H]1O[C@H](CO)[C@@H](OP([O-])([O-])=O)[C@H]1O.[Na+].[Na+] |&1:11,13,16,22,r|
展开
收起