图谱信息 供应商 相关产品
网站主页CAS数据库列表 603-11-2更多图谱3-硝基邻苯二甲酸(603-11-2)Raman光谱

3-硝基邻苯二甲酸

产品名称 3-硝基邻苯二甲酸

CAS号603-11-2

分子式C8H5NO6

分子量211.13

展开


  • Mass

    MS-NW-8175          
    3-nitrophthalic acid
    C8H5NO6             (Mass of molecular ion:    211)
    

       Source Temperature: 210 °C
       Sample Temperature: 190 °C
       Direct, 75 eV
    

          16.0       1.3
          17.0       2.4
          18.0      13.9
          27.0       3.0
          28.0       8.2
          30.0      22.7
          37.0       5.7
          37.5       1.2
          38.0       5.1
          39.0      19.7
          44.0      48.4
          45.0       5.4
          46.0       1.3
          49.0       3.1
          50.0      19.1
          51.0      12.8
          52.0       1.7
          53.0       8.9
          55.0       2.2
          61.0       2.6
          62.0       4.0
          63.0      11.0
          64.0       7.1
          65.0      79.8
          66.0       5.3
          73.0       4.7
          74.0      28.0
          75.0     100.0
          76.0      18.7
          77.0       5.9
          79.0       1.0
          81.0      14.6
          91.0      11.5
          92.0       8.3
          93.0      13.8
          94.0       1.0
         103.0      20.9
         104.0       8.0
         105.0       4.1
         107.0       2.0
         109.0       5.0
         119.0      11.9
         120.0       2.2
         121.0      53.7
         122.0       4.7
         123.0       8.5
         137.0      15.9
         138.0       1.3
         147.0       2.5
         148.0       1.5
         149.0      90.9
         150.0      10.7
         151.0       2.4
         163.0       2.8
         167.0      90.8
         168.0       7.7
         169.0       1.0
         177.0       1.1
         193.0       1.0
         194.0       3.6
         211.0       1.8
    

400 MHz in DMSO-d6

90 MHz in DMSO-d6


  • 1H NMR 399.65 MHz
    C8 H5 N O6 0.035 g : 0.5 ml DMSO-d6
    3-nitrophthalic acid
    ChemicalStructure
        Assign.     Shift(ppm)
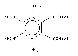
    A 13.8 B 8.321 C 8.246 D 7.809

         Hz     ppm     Int.
    

       5530.78  13.840     26
       3330.69   8.335    625
       3329.63   8.332    707
       3322.36   8.314    714
       3321.29   8.311    724
       3300.14   8.258    636
       3299.28   8.256    639
       3292.44   8.239    738
       3291.38   8.236    680
       3128.76   7.829    646
       3120.86   7.809   1000
       3112.74   7.789    565
    


  • 1H NMR 89.56 MHz
    C8 H5 N O6 0.039 g : 0.5 ml DMSO-d6
    3-nitrophthalic acid
    ChemicalStructure
        Assign.     Shift(ppm)
    A 12. B 8.30 C 8.24 D 7.808

         Hz     ppm     Int.
    

        749.13   8.365    490
        747.85   8.351    606
        745.46   8.324     39
        744.78   8.316     38
        742.13   8.287    618
        741.10   8.275    958
        739.82   8.261    904
        736.23   8.221     49
        734.27   8.199   1000
        732.98   8.185    535
        730.85   8.161     40
        705.81   7.881    806
        697.86   7.793    998
        695.81   7.770     40
        689.92   7.704    417
    

in DMSO-d6



KBr disc



nujol mull



4880 A,200 M,powder