图谱信息 供应商 相关产品
网站主页CAS数据库列表 603-45-2更多图谱玫红酸(603-45-2)红外图谱(IR1)

玫红酸

产品名称 玫红酸

CAS号603-45-2

分子式C19H14O3

分子量290.31

展开


  • Mass

    MS-NW-6467          
    aurin
    C19H14O3            (Mass of molecular ion:    290)
    

       Source Temperature: 200 °C
       Sample Temperature: 190 °C
       Direct, 75 eV
    

          17.0       6.3
          18.0      33.5
          26.0       1.2
          27.0       3.2
          28.0       8.0
          29.0       1.3
          31.0       1.0
          32.0       1.8
          37.0       2.4
          38.0       4.0
          39.0      15.2
          40.0       9.4
          41.0       1.7
          43.0       1.1
          44.0       6.9
          47.0       3.6
          48.0      15.1
          50.0       3.2
          51.0       4.0
          52.0       1.0
          53.0       2.3
          55.0       7.7
          57.0       1.3
          61.0       1.3
          62.0       2.0
          63.0       3.2
          64.0      36.3
          65.0      16.5
          66.0      21.2
          67.0       2.0
          68.0       1.2
          74.0       1.5
          77.0       1.5
          79.0       1.0
          84.0       1.0
          93.0       1.7
          94.0     100.0
          95.0       7.5
         170.0       1.1
         195.0       1.3
         197.0       1.2
         198.0       1.4
         199.0       1.2
         261.0       1.8
         289.0       1.0
         290.0       8.0
         291.0       1.8
         292.0       1.1
    

400 MHz in DMSO-d6


  • 1H NMR 399.65 MHz
    C19 H14 O3 0.038 g : 0.5 ml DMSO-d6
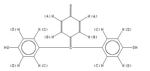
    aurin
    ChemicalStructure
        Assign.     Shift(ppm)
    A 7.452 B 7.135 C 6.952 D 6.652

         Hz     ppm     Int.
    

       2983.55   7.466    346
       2974.55   7.443    398
       2855.83   7.146    420
       2846.98   7.124    369
       2783.20   6.965    863
       2781.22   6.960    324
       2774.51   6.943    997
       2662.66   6.663   1000
       2660.68   6.658    347
       2655.79   6.646    386
       2653.81   6.641    874
    

in DMSO-d6



KBr disc



nujol mull