
N,N-二苯基氨基甲酸乙酯
产品名称
N,N-二苯基氨基甲酸乙酯
CAS号603-52-1
分子式C15H15NO2
分子量241.29
InChIInChI=1S/C15H15NO2/c1-2-18-15(17)16(13-9-5-3-6-10-13)14-11-7-4-8-12-14/h3-12H,2H2,1H3
InChIKeyHKTSLDUAGCAISP-UHFFFAOYSA-N
SmilesC(OCC)(=O)N(C1=CC=CC=C1)C1=CC=CC=C1
展开
收起
-
Assign. Shift(ppm)
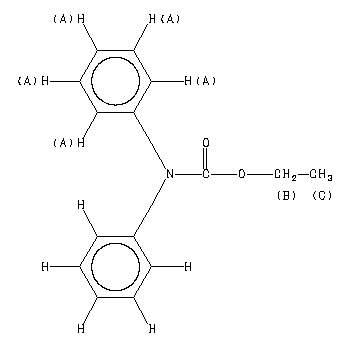
A 7.49 to 7.00
B 4.209
C 1.220
Spectral Code: 1H NMR : 90 MHz in CDCl3
-
ppm Int. Assign.
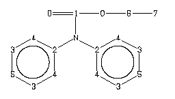
154.76 95 1
142.73 284 2
128.82 1000 3
126.93 915 4
125.95 418 5
61.95 194 6
14.42 169 7
Spectral Code: 13C NMR : in CDCl3
-
Spectral Code: IR : nujol mull
-
Spectral Code: Raman : 4880 A,200 M,powder
N,N-二苯基氨基甲酸乙酯(603-52-1)核磁图(13CNMR) 相关产品图谱