400 MHz in CDCl3
-
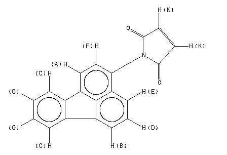
1H NMR 399.65 MHz C20 H11 N O2 0.010 g : 0.5 ml CDCl3 N-(3-fluoranthenyl)maleimide 
Assign. Shift(ppm)
A 7.957 B 7.919 C 7.88 D 7.617 E 7.504 F 7.462 G 7.39 K 6.976
Hz ppm Int.3183.72 7.967 182 3176.51 7.949 196 3168.09 7.928 129 3161.25 7.911 144 3156.25 7.898 84 3154.54 7.894 63 3152.10 7.888 137 3150.76 7.884 74 3149.78 7.882 71 3148.44 7.878 150 3147.71 7.877 109 3145.87 7.872 65 3144.29 7.868 86 3143.68 7.867 77 3052.61 7.639 85 3045.65 7.621 82 3044.19 7.618 125 3037.23 7.600 110 3002.20 7.513 166 2993.90 7.492 116 2985.96 7.472 202 2978.64 7.454 188 2955.93 7.397 157 2953.98 7.392 105 2952.15 7.387 122 2951.29 7.385 125 2949.58 7.381 101 2947.27 7.375 157 2788.21 6.977 1000
更多供应商


