400 MHz in CDCl3
90 MHz in CDCl3
-
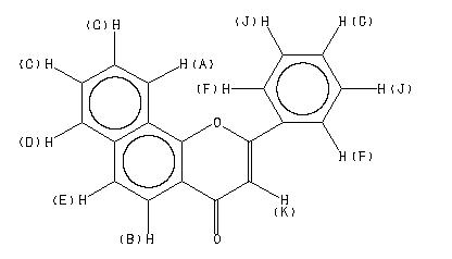
1H NMR 399.65 MHz C19 H12 O2 0.049 g : 0.5 ml CDCl3 alpha-naphthoflavone 
Assign. Shift(ppm)
A 8.437 B 8.077 C 7.92 D 7.821 E 7.660 F 7.612 G 7.52 J 7.51 K 6.860 J(B,E)=8.8HZ. G AND J WERE CONFIRMED BY LAOCN PROGRAM. 90MHZ. : HSP-03-456
Hz ppm Int.3376.71 8.450 124 3375.98 8.448 83 3375.00 8.445 72 3374.02 8.443 71 3371.58 8.437 109 3370.48 8.434 98 3369.63 8.432 75 3367.80 8.427 82 3367.07 8.426 129 3366.33 8.424 77 3232.67 8.089 381 3223.88 8.067 418 3174.19 7.943 31 3173.58 7.941 32 3172.49 7.939 44 3171.02 7.935 62 3168.46 7.929 278 3166.99 7.925 172 3165.77 7.922 238 3164.92 7.920 107 3164.06 7.918 200 3162.48 7.914 248 3161.01 7.910 141 3160.03 7.907 157 3158.81 7.904 274 3157.71 7.902 86 3130.49 7.834 120 3127.81 7.827 96 3126.10 7.823 120 3123.29 7.816 91 3121.22 7.810 140 3065.55 7.671 242 3060.18 7.658 32 3057.13 7.650 227 3054.20 7.643 35 3053.59 7.641 39 3051.15 7.635 88 3049.32 7.630 63 3046.75 7.624 315 3046.26 7.623 287 3044.19 7.618 236 3042.36 7.613 225 3041.14 7.610 230 3039.06 7.605 192 3037.11 7.600 272 3036.74 7.599 254 3034.30 7.593 32 3032.10 7.587 50 3017.46 7.551 31 3016.72 7.549 33 3015.38 7.546 37 3013.92 7.542 45 3011.35 7.535 108 3008.54 7.528 245 3007.45 7.526 630 3005.98 7.522 283 3005.25 7.520 309 3004.52 7.518 488 3002.93 7.514 221 3002.08 7.512 227 3000.85 7.509 394 2999.02 7.505 75 2998.17 7.502 104 2996.95 7.499 33 2996.58 7.499 32 2741.82 6.861 1000
-
1H NMR 89.56 MHz C19 H12 O2 0.046 g : 0.5 ml CDCl3 alpha-naphthoflavone 
Assign. Shift(ppm)
A 8.473 B 8.094 C 7.98 to 7.89 D 7.82 E 7.68 F 7.61 G 7.56 to 7.48 J 6.882 400MHZ. : HSP-40-396
Hz ppm Int.765.00 8.542 65 764.25 8.534 108 763.56 8.526 66 760.81 8.495 94 758.75 8.472 66 758.06 8.465 98 757.13 8.454 64 754.63 8.426 138 753.88 8.418 80 730.38 8.156 314 721.63 8.058 500 718.56 8.024 31 716.50 8.001 191 715.00 7.984 115 714.19 7.975 112 713.38 7.966 173 712.25 7.953 161 710.81 7.937 175 709.69 7.925 225 709.06 7.918 192 708.06 7.906 208 706.63 7.891 310 705.69 7.880 144 705.00 7.872 158 702.63 7.846 128 701.69 7.835 104 699.06 7.806 178 695.50 7.766 65 692.44 7.732 275 691.94 7.726 285 687.75 7.680 479 684.38 7.642 426 681.44 7.609 343 678.06 7.572 432 677.31 7.563 551 675.88 7.547 232 674.00 7.526 464 672.81 7.513 236 672.06 7.505 172 670.63 7.489 452 669.56 7.477 96 668.44 7.464 85 666.63 7.444 44 616.38 6.883 1000
更多供应商




