-
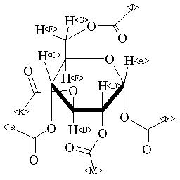
MS-NW-7031 alpha-D-glucose pentaacetate C16H22O11 (Mass of molecular ion: 390)
Source Temperature: 170 °C Sample Temperature: 120 °C Direct, 75 eV
15.0 3.6 18.0 1.4 42.0 1.1 43.0 100.0 44.0 2.4 61.0 1.1 69.0 1.7 70.0 1.0 73.0 3.8 80.0 1.0 81.0 2.3 85.0 1.9 86.0 1.2 97.0 3.0 98.0 13.3 99.0 1.7 102.0 1.1 103.0 6.2 109.0 4.7 112.0 1.0 114.0 1.6 115.0 17.4 116.0 1.8 126.0 1.8 127.0 2.1 139.0 1.6 140.0 5.7 145.0 4.0 157.0 10.9 158.0 3.2 169.0 5.5 199.0 1.6 200.0 4.8 242.0 7.1 243.0 1.0 331.0 1.0
400 MHz in CDCl3
-
1H NMR 399.65 MHz C16 H22 O11 0.038 g : 0.5 ml CDCl3 alpha-D-glucose pentaacetate 
Assign. Shift(ppm)
A 6.334 B 5.474 C *1 5.12 D *1 5.11 E 4.274 F 4.13 G 4.10 J *2 2.186 K *2 2.096 L *2 2.046 M *2 2.032 N *2 2.021
Hz ppm Int.2533.33 6.339 126 2529.66 6.330 129 2198.73 5.502 65 2188.60 5.477 104 2178.96 5.453 86 2066.77 5.172 64 2056.64 5.147 92 2046.26 5.121 132 2042.48 5.111 101 2035.89 5.095 89 2032.23 5.086 88 1716.43 4.295 35 1712.52 4.286 63 1704.22 4.265 75 1699.95 4.254 65 1656.98 4.147 37 1654.66 4.141 46 1653.20 4.137 35 1650.88 4.131 46 1643.80 4.114 114 1642.46 4.110 96 1632.69 4.086 67 1630.49 4.080 54 873.66 2.187 964 837.89 2.097 952 835.33 2.091 78 832.15 2.083 39 830.20 2.078 32 829.96 2.077 32 829.71 2.077 32 828.86 2.074 32 823.73 2.062 49 821.17 2.055 76 817.99 2.047 1000 813.96 2.037 142 812.13 2.033 994 807.62 2.021 989 802.12 2.008 38
更多供应商






