产品名称 9.10-二甲基菲
CAS号604-83-1
分子式C16H14
分子量206.28
InChIInChI=1S/C16H14/c1-11-12(2)14-8-4-6-10-16(14)15-9-5-3-7-13(11)15/h3-10H,1-2H3
InChIKeyJUEORGSHIXFSSI-UHFFFAOYSA-N
SmilesC1=C2C(C3C(C(C)=C2C)=CC=CC=3)=CC=C1
展开 收起
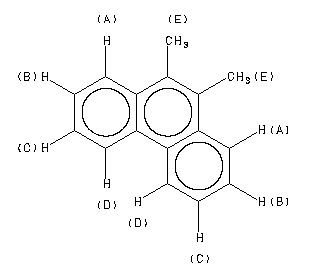
Parameter ppm Hz D(A) 7.965 D(B) 7.475 D(C) 7.465 D(D) 8.545 J(A,B) 9.0 J(A,C) 0.9 J(A,D) 0.5 J(B,C) 6.9 J(B,D) 1.7 J(C,D) 8.0 D(E) 2.675 BARTLE,K.D. & SMITH,J.A.S. SPECTROCHIM.ACTA 23A, 1689 (1967)
更多供应商
9.10-二甲基菲(604-83-1)核磁图(1HNMR) 相关产品图谱