图谱信息 供应商 相关产品
网站主页CAS数据库列表 605-55-0更多图谱2-菲醇(605-55-0)红外图谱(IR1)

2-菲醇

产品名称 2-菲醇

CAS号605-55-0

分子式C14H10O

分子量194.23

展开



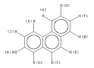
  •     Assign.     Shift(ppm)
    A 8.57 B 7.850 C *1 7.706 D *2 7.620 E *1 7.601 F *2 7.534 G 7.236 J 7.216 K 5. J(C,E)=8.9HZ.
    Spectral Code: 1H NMR : 400 MHz in CDCl3



  •        ppm   Int.  Assign.
    154.16 542 1 133.61 446 2 131.07 471 3 130.47 442 4 128.60 994 5 127.76 956 6 126.74 1000 7 * 126.05 874 8 * 125.68 904 9 124.81 410 10 124.62 908 11 122.10 837 12 116.63 868 13 111.83 810 14 10009
    Spectral Code: 13C NMR : in CDCl3


  • Spectral Code: IR : KBr disc