图谱信息 供应商 相关产品
网站主页CAS数据库列表 605-87-8更多图谱3-羟基菲(605-87-8)核磁图(13CNMR)

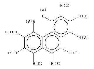
3-羟基菲

产品名称 3-羟基菲

CAS号605-87-8

分子式C14H10O

分子量194.23

展开



  •     Assign.     Shift(ppm)
    A 8.503 B 8.015 C 7.856 D 7.779 E *1 7.661 F *1 7.60 G *2 7.59 J *2 7.58 K 7.157 L 5.2 J(B,K)=2.4HZ. J(D,K)=8.5HZ. J(E,F)=8.9HZ. G AND J WERE CONFIRMED BY LAOCN PROGRAM.
    Spectral Code: 1H NMR : 400 MHz in CDCl3



  •        ppm   Int.  Assign.
    154.32 509 1 132.43 542 2 131.89 462 3 130.30 945 4 129.53 409 5 128.54 945 6 126.82 581 7 126.75 999 8 * 126.55 1000 9 * 126.19 928 10 * 124.59 943 11 122.74 945 12 116.68 870 13 106.95 833 14 10010
    Spectral Code: 13C NMR : in CDCl3


  • Spectral Code: IR : KBr disc