-
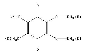
MS-IW-0221 2,3-dimethoxy-5-methyl-p-benzoquinone C9H10O4 (Mass of molecular ion: 182)
Source Temperature: 260 °C Sample Temperature: 160 °C Reservoir, 75 eV
15.0 19.3 18.0 1.3 26.0 1.0 27.0 6.1 28.0 6.0 29.0 3.9 37.0 1.7 38.0 4.1 39.0 27.0 40.0 25.1 41.0 5.2 43.0 10.6 50.0 2.3 51.0 3.2 52.0 4.8 53.0 10.1 54.0 1.1 55.0 2.9 56.0 1.2 65.0 2.6 66.0 3.0 67.0 7.7 68.0 26.5 69.0 29.7 70.0 1.2 71.0 2.1 77.0 1.1 79.0 2.2 80.0 4.8 81.0 8.2 82.0 1.1 83.0 46.7 84.0 2.7 86.0 2.4 93.0 2.7 94.0 2.1 95.0 3.7 96.0 11.4 97.0 1.5 99.0 1.4 107.0 3.3 108.0 7.9 109.0 5.3 110.0 1.2 111.0 21.0 112.0 1.4 121.0 6.8 122.0 3.9 123.0 2.5 124.0 2.4 125.0 4.5 126.0 2.3 135.0 2.5 136.0 28.5 137.0 100.0 138.0 8.5 139.0 25.2 140.0 2.1 151.0 4.2 152.0 6.3 153.0 18.5 154.0 7.3 164.0 3.5 165.0 1.0 166.0 1.1 167.0 46.0 168.0 4.3 169.0 5.0 181.0 2.3 182.0 88.6 183.0 11.9 184.0 6.9
400 MHz in CDCl3
-
1H NMR 399.65 MHz C9 H10 O4 0.033 g : 0.5 ml CDCl3 2,3-dimethoxy-5-methyl-p-benzoquinone 
Assign. Shift(ppm)
A 6.442 B *1 4.025 C *1 4.000 D 2.041
Hz ppm Int.2577.27 6.449 46 2575.56 6.445 149 2573.97 6.441 143 2572.27 6.437 48 1611.45 4.033 39 1609.01 4.027 1000 1603.52 4.013 20 1598.88 4.001 968 819.58 2.051 22 816.77 2.044 473 815.06 2.040 491
更多供应商





