图谱信息 供应商 相关产品
网站主页CAS数据库列表 6051-87-2更多图谱β-萘黄酮(6051-87-2)红外图谱(IR1)

β-萘黄酮

产品名称 β-萘黄酮

CAS号6051-87-2

分子式C19H12O2

分子量272.3

展开


  • Mass

    MS-NW-6846          
    3-phenyl-1H-benzo(f)chromen-1-one
    C19H12O2            (Mass of molecular ion:    272)
    

       Source Temperature: 250 °C
       Sample Temperature: 150 °C
       Direct, 75 eV
    

          18.0       1.5
          27.0       2.0
          28.0       1.0
          31.0       1.9
          38.0       1.6
          39.0       6.4
          50.0       6.7
          51.0       9.4
          52.0       3.1
          61.0       1.5
          62.0       7.1
          63.0      13.7
          64.0       3.2
          65.0       1.8
          74.0       7.0
          75.0       7.3
          76.0       7.0
          77.0       6.3
          81.5       1.0
          86.0       3.9
          87.0       6.3
          88.0      11.1
          89.0       5.5
          93.5       1.2
          94.0       1.3
          94.5       5.3
          95.0       1.5
          98.0       2.1
          99.0       1.6
         100.0       1.4
         101.0       1.7
         102.0       7.9
         105.0       3.1
         106.0       1.2
         106.5       4.3
         107.0       5.0
         107.5       8.8
         108.0       2.9
         110.0       1.0
         111.0       1.0
         113.0      14.8
         114.0      66.1
         115.0      24.5
         116.0       5.8
         122.0      14.5
         122.5       3.1
         126.0       3.9
         129.0       1.6
         136.0       1.7
         139.0       2.5
         142.0      33.6
         143.0       4.2
         144.0      24.2
         145.0       2.7
         163.0       1.5
         170.0      50.4
         171.0       6.3
         187.0       1.5
         188.0       1.0
         189.0       3.7
         213.0       5.9
         214.0       2.1
         215.0      16.2
         216.0       3.3
         242.0       1.1
         243.0       4.5
         244.0      76.9
         245.0      15.8
         246.0       1.7
         271.0       7.3
         272.0     100.0
         273.0      20.7
         274.0       2.8
    

400 MHz in CDCl3


  • 1H NMR 399.65 MHz
    C19 H12 O2 0.037 g : 0.5 ml CDCl3
    3-phenyl-1H-benzo(f)chromen-1-one
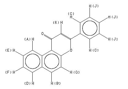
    ChemicalStructure
        Assign.     Shift(ppm)
    A 10.059 B 8.039 C 7.896 D 7.851 E *1 7.726 F *1 7.570 G 7.546 J 7.51 to 7.48 K 6.938 ASSIGNED BY C-H COSY. J(B,G)=9.0HZ

         Hz     ppm     Int.
    

       4025.12  10.072    162
       4024.51  10.071    168
       4024.05  10.069    168
       4016.42  10.050    171
       4015.81  10.049    172
       4015.35  10.048    170
       3217.77   8.052    236
       3208.77   8.029    260
       3164.52   7.919     32
       3160.86   7.910    272
       3158.72   7.904    295
       3157.20   7.900     95
       3155.52   7.896    250
       3154.45   7.894    219
       3153.38   7.891    152
       3152.01   7.887    177
       3151.09   7.885    293
       3148.50   7.879     42
       3146.06   7.873     30
       3142.55   7.864    142
       3141.94   7.862    144
       3141.33   7.861    150
       3134.61   7.844    161
       3133.85   7.842    162
       3133.24   7.840    169
       3096.62   7.749    115
       3095.09   7.745    105
       3089.60   7.731    173
       3088.07   7.727    219
       3086.40   7.723    108
       3080.90   7.709    127
       3079.53   7.706    121
       3035.74   7.596    145
       3034.52   7.593    154
       3028.72   7.579    135
       3027.65   7.576    234
       3026.43   7.573    147
       3019.56   7.556    502
       3010.71   7.534    381
       3002.62   7.514     73
       3002.17   7.512     74
       3000.79   7.509    101
       2998.50   7.503    656
       2996.52   7.498    507
       2993.32   7.490    301
       2991.64   7.486    325
       2989.81   7.482     75
       2987.82   7.477     95
       2772.98   6.939   1000
    

in CDCl3



KBr disc



nujol mull