图谱信息 供应商 相关产品
网站主页CAS数据库列表 60563-13-5更多图谱4-羟基-3-甲氧基苯基乙酸乙酯(60563-13-5)红外图谱(IR2)

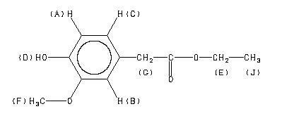
4-羟基-3-甲氧基苯基乙酸乙酯

产品名称 4-羟基-3-甲氧基苯基乙酸乙酯

CAS号60563-13-5

分子式C11H14O4

分子量210.23


  • Mass

    MS-NW-8035          
    ethyl 4-hydroxy-3-methoxyphenylacetate
    C11H14O4            (Mass of molecular ion:    210)
    

       Source Temperature: 160 °C
       Sample Temperature: 120 °C
       Direct, 75 eV
    

          15.0       1.4
          27.0       5.1
          29.0      11.6
          39.0       5.4
          40.0       1.3
          43.0       1.5
          50.0       1.6
          51.0       5.5
          52.0       2.1
          53.0       1.7
          55.0       1.9
          63.0       1.4
          65.0       5.3
          66.0       6.1
          67.0       1.0
          77.0       4.2
          78.0       2.1
          79.0       1.7
          91.0       1.2
          94.0      13.2
          95.0       1.4
         105.0       2.0
         106.0       1.6
         107.0       2.7
         122.0      12.5
         123.0       2.7
         135.0       1.0
         137.0     100.0
         138.0       9.4
         210.0      22.6
         211.0       2.9
    

400 MHz in CDCl3


  • 1H NMR 399.65 MHz
    C11 H14 O4 0.041 g : 0.5 ml CDCl3
    ethyl 4-hydroxy-3-methoxyphenylacetate
    ChemicalStructure
        Assign.     Shift(ppm)
    A 6.853 B 6.812 C 6.765 D 5.62 E 4.146 F 3.874 G 3.530 J 1.252

         Hz     ppm     Int.
    

       2743.65   6.866    125
       2735.60   6.845    193
       2723.51   6.815    107
       2721.56   6.810    133
       2707.89   6.776     89
       2705.93   6.771     73
       2699.83   6.756     57
       2697.88   6.751     50
       2247.07   5.623    149
       1668.09   4.174     88
       1660.89   4.156    266
       1653.81   4.139    280
       1646.73   4.121     92
       1548.10   3.874   1000
       1410.77   3.531    430
        507.45   1.270    313
        500.37   1.253    692
        493.29   1.235    314
    

in CDCl3



KBr disc



nujol mull