图谱信息 供应商 相关产品
网站主页CAS数据库列表 607-24-9更多图谱2-硝基-1-萘酚(607-24-9)红外图谱(IR2)

2-硝基-1-萘酚

产品名称 2-硝基-1-萘酚

CAS号607-24-9

分子式C10H7NO3

分子量189.17


  • Mass

    MS-IW-0743          
    2-nitro-1-naphthol
    C10H7NO3            (Mass of molecular ion:    189)
    

       Source Temperature: 110 °C
       Sample Temperature:  90 °C
       Direct, 75 eV
    

          18.0       2.1
          51.0       1.3
          62.0       1.3
          63.0       2.9
          65.0       1.0
          75.0       1.2
          77.0       2.0
          87.0       1.0
          88.0       3.4
          89.0       3.6
          94.5       1.3
         101.0       2.5
         102.0       1.3
         103.0       1.9
         113.0       4.5
         114.0      16.1
         115.0      10.8
         116.0       3.6
         128.0       5.3
         130.0       1.0
         131.0       4.4
         142.0       1.6
         143.0       6.1
         156.0       3.8
         159.0       3.6
         172.0      12.3
         173.0       5.2
         189.0     100.0
         190.0      11.5
         191.0       1.2
    

400 MHz in CDCl3


  • 1H NMR 399.65 MHz
    C10 H7 N O3 0.039 g : 0.5 ml CDCl3
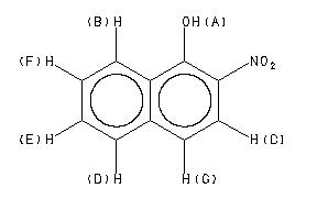
    2-nitro-1-naphthol
    ChemicalStructure
        Assign.     Shift(ppm)
    A 12.2 B 8.460 C 7.948 D 7.770 E 7.696 F 7.593 G 7.288 ASSIGNED BY C-H COSY. J(C,G)=9.3HZ

         Hz     ppm     Int.
    

       4871.82  12.191    185
       3386.23   8.473    458
       3385.50   8.472    448
       3377.69   8.452    462
       3377.20   8.451    468
       3376.46   8.449    423
       3375.73   8.447    217
       3181.40   7.961    948
       3172.12   7.938   1000
       3110.84   7.784    346
       3106.45   7.773     31
       3102.54   7.764    572
       3083.50   7.716    339
       3082.28   7.713    369
       3076.66   7.699    484
       3075.44   7.696    653
       3074.22   7.693    242
       3068.60   7.679    313
       3067.14   7.675    272
       3041.99   7.612    339
       3040.77   7.609    349
       3035.16   7.595    266
       3033.69   7.591    524
       3032.47   7.588    335
       3026.86   7.574    242
       3025.63   7.571    220
       2917.48   7.301    672
       2908.20   7.277    640
    

in CDCl3



KBr disc



nujol mull