图谱信息 供应商 相关产品
网站主页CAS数据库列表 607-42-1更多图谱1-蒽甲酸(607-42-1)质谱(MS)

1-蒽甲酸

产品名称 1-蒽甲酸

CAS号607-42-1

分子式C15H10O2

分子量222.24

展开


  • Mass

    MS-IW-4047          
    1-anthracenecarboxylic acid
    C15H10O2            (Mass of molecular ion:    222)
    

       Source Temperature: 180 °C
       Sample Temperature: 130 °C
       Direct, 75 eV
    

          18.0       1.8
          63.0       1.0
          74.0       1.0
          75.0       3.4
          76.0       1.8
          82.0       2.6
          82.5       2.0
          83.0       1.2
          87.0       1.7
          87.5       1.0
          88.0      12.6
          88.5       6.9
          89.0       2.0
          97.0       2.2
         102.5       2.6
         111.0       7.2
         111.5       1.2
         150.0       3.4
         151.0       4.5
         152.0       1.1
         164.0       1.0
         165.0       7.3
         166.0       1.9
         174.0       1.7
         175.0       2.4
         176.0      15.2
         177.0      24.3
         178.0      10.0
         179.0       1.4
         193.0       1.3
         194.0       2.2
         204.0       1.4
         205.0      14.2
         206.0       2.4
         221.0       1.1
         222.0     100.0
         223.0      16.4
         224.0       1.8
    

400 MHz in DMSO-d6


  • 1H NMR 399.65 MHz
    C15 H10 O2 0.035 g : 0.5 ml DMSO-d6
    1-anthracenecarboxylic acid
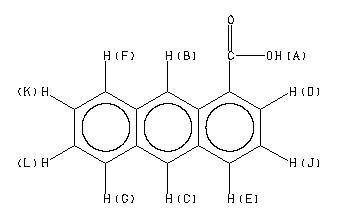
    ChemicalStructure
        Assign.     Shift(ppm)
    A 13.3 B 9.627 C 8.697 D 8.355 E 8.299 F *1 8.189 G *1 8.131 J 7.62 K *2 7.61 L *2 7.60

         Hz     ppm     Int.
    

       3847.81   9.628    931
       3475.79   8.698   1000
       3343.94   8.368    466
       3335.18   8.346    501
       3321.08   8.310    519
       3320.01   8.308    536
       3314.03   8.293    585
       3312.96   8.290    546
       3281.33   8.211     62
       3278.13   8.203    273
       3274.71   8.194    265
       3273.00   8.190    210
       3270.43   8.184    193
       3268.08   8.178    314
       3255.26   8.146    287
       3250.35   8.133    203
       3248.64   8.129    274
       3245.43   8.121    311
       3242.01   8.113     75
       3054.61   7.644    486
       3047.56   7.626    628
       3046.07   7.622    631
       3043.72   7.616    957
       3041.15   7.610    505
       3039.23   7.605    731
       3037.95   7.602    578
       3036.45   7.598    498
       3033.89   7.592    906
       3031.32   7.585    132
       3029.83   7.582    146
       3027.48   7.576     43
    

in DMSO-d6



KBr disc



nujol mull