-
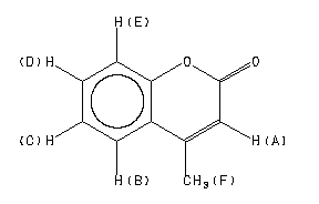
Parameter ppm Hz
D(A) 6.181 D(B) 7.566 D(C) 7.258 D(D) 7.480 D(E) 7.254 D(F) 2.400 J(A,B) 0.36 J(A,C) 0.12 J(A,D) 0.27 J(A,E) 0.01 J(A,F) -1.28 J(B,C) 7.98 J(B,D) 1.56 J(B,E) 0.48 J(B,F) 0.06 J(C,D) 7.35 J(C,E) 1.20 J(C,F) 0.00 J(D,E) 8.32 J(D,F) 0.04 J(E,F) 0.06 ROWBOTHAM,J.B. & SCHAEFER,T. CAN.J.CHEM. 51, 953 (1973) THE SIGN OF J(A,F) IS ASSUMED.Spectral Code: 1H NMR : parameter in CDCl3
更多供应商


