图谱信息 供应商 相关产品
网站主页CAS数据库列表 608-05-9更多图谱5-甲基靛红(608-05-9)红外图谱(IR1)

5-甲基靛红

产品名称 5-甲基靛红

CAS号608-05-9

分子式C9H7NO2

分子量161.16

展开


  • Mass

    MS2016-05362CM      
    5-methyl-2,3-indolinedione
    C9H7NO2             (Mass of molecular ion:    161)
    

       Source Temperature: 235 °C
       Sample Temperature:  20 °C
       Direct, 70 eV
    

          26.0       1.8
          27.0       3.8
          28.0       1.4
          37.0       1.8
          38.0       2.7
          39.0       5.3
          49.0       1.3
          50.0       8.1
          51.0      13.7
          52.0      11.4
          53.0       3.0
          61.0       1.8
          62.0       3.5
          63.0       6.1
          64.0       2.1
          65.0       1.5
          66.5       1.3
          74.0       2.2
          75.0       2.8
          76.0       4.6
          77.0      14.2
          78.0      21.5
          79.0       1.8
          89.0       3.7
          90.0       2.0
         103.0       1.4
         104.0      46.6
         105.0      12.3
         106.0      15.0
         107.0       1.2
         132.0       2.6
         133.0     100.0
         134.0       9.5
         161.0      50.6
         162.0       8.5
    

90 MHz in DMSO-d6

in DMSO-d6


  • 1H NMR 89.56 MHz
    C9 H7 N O2 0.040 g : 0.5 ml DMSO-d6
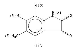
    5-methyl-2,3-indolinedione
    ChemicalStructure
        Assign.     Shift(ppm)
    A 10.9 B 7.39 C 7.30 D 6.81 E 2.255

         Hz     ppm     Int.
    

        979.10  10.933    106
        667.60   7.455     87
        666.87   7.447     93
        665.77   7.434    110
        665.11   7.427     98
        663.65   7.411     29
        663.35   7.407     28
        662.77   7.401     29
        659.69   7.366    105
        659.03   7.359    122
        657.86   7.346    174
        657.20   7.339    171
        654.57   7.309    223
        653.91   7.302    238
        613.18   6.847    217
        605.35   6.760    161
        209.91   2.344     24
        202.08   2.257   1000
    



in DMSO-d6



KBr disc



nujol mull