
4-铌苯基15-5-乙基
产品名称
4-铌苯基15-5-乙基
CAS号60835-69-0
分子式C14H19NO7
分子量313.3
InChIInChI=1S/C14H19NO7/c16-15(17)12-1-2-13-14(11-12)22-10-8-20-6-4-18-3-5-19-7-9-21-13/h1-2,11H,3-10H2
InChIKeyXIWRBQVYCZCEPG-UHFFFAOYSA-N
SmilesO1C2=CC=C([N+]([O-])=O)C=C2OCCOCCOCCOCC1
展开
收起
-
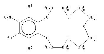
Assign. Shift(ppm)
A 7.889
B 7.719
C 6.883
D 4.24 to 4.18
E 3.97 to 3.91
F 3.81 to 3.72
J(A,C)=8.9HZ. J(A,B)=2.7HZ.
Spectral Code: 1H NMR : 400 MHz in CDCl3
-
ppm Int. Assign.
154.73 308 1
148.72 354 2
141.60 237 3
118.05 451 4
111.55 415 5
108.68 433 6
71.17 957 7
8
70.37 484 9 *
70.30 510 10 *
69.25 472 11 *
69.11 495 12 *
69.06 1000 13 *
14 *
Spectral Code: 13C NMR : in CDCl3
-
Spectral Code: IR : nujol mull
4-铌苯基15-5-乙基(60835-69-0)Raman光谱 相关产品图谱