图谱信息 供应商 相关产品
网站主页CAS数据库列表 609-23-4更多图谱2,4,6-三碘苯酚(609-23-4)红外图谱(IR2)

2,4,6-三碘苯酚

产品名称 2,4,6-三碘苯酚

CAS号609-23-4

分子式C6H3I3O

分子量471.8

展开


  • Mass

    MS-NW-0280          
    2,4,6-triiodophenol
    C6H3I3O             (Mass of molecular ion:    472)
    

       Source Temperature: 160 °C
       Sample Temperature:   0 °C
       Direct, 75 eV
    

          37.0       1.8
          53.0       1.8
          61.0       5.6
          62.0      12.1
          63.0       9.3
          90.0       2.5
          91.0       8.5
         127.0       3.2
         128.0       1.6
         189.0       5.4
         190.0       1.7
         217.0       1.4
         218.0      15.6
         219.0       1.1
         236.0       3.6
         317.0       2.2
         344.0       1.5
         345.0       5.8
         472.0     100.0
         473.0       6.8
    

parameter in DMSO-d6


  • 1H NMR 300 MHz
    C6 H3 I3 O 0.041 g : 0.5 ml DMSO-d6
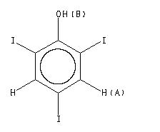
    2,4,6-triiodophenol
    ChemicalStructure
        Parameter     ppm  Hz
    D(A) 7.989 D(B) 9.74

         Hz     ppm     Int.
    

       2922.00   9.740     24
       2396.70   7.989   1000
    

DMSO-d6



CCl4 solution



KBr disc



nujol mull