-
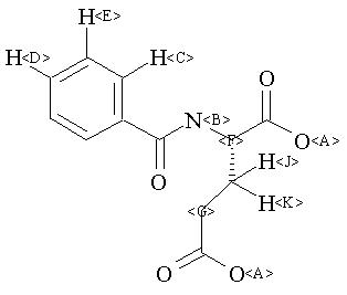
MS-NW-2378 N-benzoyl-L-glutamic acid C12H13NO5 (Mass of molecular ion: 251)
Source Temperature: 250 °C Sample Temperature: 150 °C Direct, 75 eV
17.0 1.6 18.0 8.5 27.0 1.7 28.0 3.0 39.0 1.6 41.0 1.2 44.0 2.2 45.0 1.0 50.0 3.0 51.0 9.0 55.0 1.2 56.0 1.2 76.0 2.2 77.0 33.4 78.0 2.9 83.0 1.2 84.0 9.3 100.0 1.2 102.0 1.4 103.0 1.6 104.0 2.0 105.0 100.0 106.0 8.4 122.0 4.9 129.0 3.2 130.0 1.7 146.0 1.1 147.0 2.0 148.0 1.6 161.0 2.5 173.0 1.2 174.0 2.3 187.0 1.2 188.0 1.3 189.0 2.5 206.0 3.2 207.0 1.9 215.0 4.2 233.0 2.4
400 MHz in DMSO-d6
-
1H NMR 399.65 MHz C12 H13 N O5 0.039 g : 0.5 ml DMSO-d6 N-benzoyl-L-glutamic acid 
Assign. Shift(ppm)
A 12.4 B 8.64 C 7.901 D 7.552 E 7.490 F 4.430 G 2.381 J *1 2.123 K *1 1.980
Hz ppm Int.4968.39 12.432 69 3456.17 8.648 272 3448.66 8.630 285 3161.09 7.910 551 3153.94 7.892 591 3152.66 7.889 527 3027.56 7.576 94 3020.23 7.558 301 3013.09 7.540 268 2999.72 7.506 450 2992.21 7.488 612 2985.06 7.470 243 1782.21 4.460 82 1777.26 4.448 109 1774.33 4.440 121 1772.32 4.435 145 1769.57 4.428 137 1767.56 4.423 132 1764.81 4.416 121 1759.86 4.404 93 1005.58 2.517 754 1003.94 2.513 1000 1002.29 2.508 816 959.79 2.402 246 952.47 2.384 559 944.96 2.365 324 865.64 2.166 40 860.33 2.153 52 859.78 2.152 51 857.95 2.147 75 855.39 2.141 45 852.27 2.133 114 844.21 2.113 140 839.09 2.100 112 836.70 2.094 70 831.39 2.081 47 809.05 2.025 52 801.90 2.007 105 799.52 2.001 81 794.94 1.990 101 792.38 1.983 120 788.17 1.973 93 785.23 1.965 94 780.84 1.954 51 780.29 1.953 51 778.27 1.948 75 771.13 1.930 31
更多供应商




