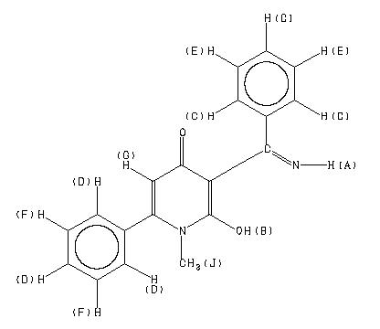
4-羟基-3-(Α-亚氨基苄基)-1-甲基-6-苯基吡啶-2(1H)-酮
产品名称 4-羟基-3-(Α-亚氨基苄基)-1-甲基-6-苯基吡啶-2(1H)-酮
CAS号60986-58-5
分子式C19H16N2O2
分子量304.34
-
MS-NW-9927 4-hydroxy-3-(alpha-iminobenzyl)-1-methyl-6-phenyl-2(1H)-pyridinone C19H16N2O2 (Mass of molecular ion: 304)
Source Temperature: 170 °C Sample Temperature: 160 °C Direct, 75 eV
17.0 1.0 18.0 5.3 28.0 1.1 51.0 2.3 58.0 1.2 76.0 1.9 77.0 8.6 78.0 1.0 82.0 2.4 89.0 1.7 90.0 1.5 91.0 2.9 102.0 2.3 103.0 7.1 104.0 4.7 105.0 1.2 115.0 1.6 116.0 1.4 117.0 2.4 118.0 9.2 129.0 1.5 130.0 2.0 131.0 1.1 132.0 2.3 138.0 1.9 144.0 2.1 146.0 1.5 151.0 3.9 152.0 2.3 158.0 4.5 160.0 1.9 172.0 1.2 200.0 10.0 201.0 5.2 227.0 2.4 260.0 1.2 276.0 1.4 289.0 4.3 303.0 100.0 304.0 34.2 305.0 5.7
400 MHz in CDCl3
-
1H NMR 399.65 MHz C19 H16 N2 O2 0.038 g : 0.5 ml CDCl3 4-hydroxy-3-(alpha-iminobenzyl)-1-methyl-6-phenyl-2(1H)-pyridinone 
Assign. Shift(ppm)
A *1 13. B *1 7.5 C *2 7.44 D *2 7.39 E *3 7.32 F *3 7.31 G 5.62 J 2.937
Hz ppm Int.2982.68 7.464 94 2981.40 7.461 163 2980.49 7.458 158 2978.47 7.453 621 2976.27 7.448 424 2974.62 7.444 852 2971.88 7.437 1000 2968.03 7.427 142 2958.14 7.402 653 2955.57 7.396 717 2951.54 7.386 661 2948.98 7.379 235 2936.34 7.348 114 2933.05 7.340 492 2930.85 7.334 493 2927.37 7.325 777 2924.99 7.319 448 2923.70 7.316 680 2920.22 7.307 418 2917.84 7.301 361 2244.34 5.616 98 1173.18 2.936 419
更多供应商





