
3-甲氧基肉桂酸
产品名称
3-甲氧基肉桂酸
CAS号6099-04-3
分子式C10H10O3
分子量178.18
InChIInChI=1S/C10H10O3/c1-13-9-4-2-3-8(7-9)5-6-10(11)12/h2-7H,1H3,(H,11,12)
InChIKeyLZPNXAULYJPXEH-UHFFFAOYSA-N
SmilesC(O)(=O)C=CC1=CC=CC(OC)=C1
展开
收起
-
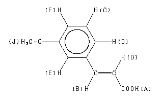
Assign. Shift(ppm)
A 11.72
B 7.748
C 7.29
D 7.11
E 7.05
F 6.96
G 6.439
J 3.824
Spectral Code: 1H NMR : 90 MHz in CDCl3
-
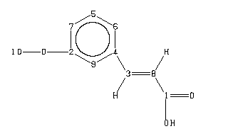
ppm Int. Assign.
172.63 744 1
159.98 750 2
146.99 667 3
135.45 900 4
129.94 922 5
121.08 878 6
117.69 1000 7
116.63 650 8
113.31 928 9
55.25 978 10
Spectral Code: 13C NMR : in CDCl3
-
Spectral Code: IR : KBr disc
-
Spectral Code: Raman : 4880 A,200 M,powder
3-甲氧基肉桂酸(6099-04-3)红外图谱(IR1) 相关产品图谱