图谱信息 供应商 相关产品
网站主页CAS数据库列表 6099-57-6更多图谱4-羟基-1-萘磺酸单钠盐(6099-57-6)红外图谱(IR2)

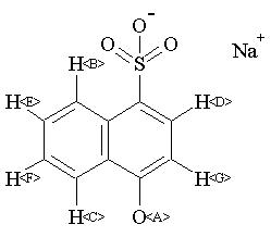
4-羟基-1-萘磺酸单钠盐

产品名称 4-羟基-1-萘磺酸单钠盐

CAS号6099-57-6

分子式C10H9NaO4S

分子量248.23

展开

400 MHz in DMSO-d6


  • 1H NMR 399.65 MHz
    C10 H7 Na O4 S 0.044 g : 0.5 ml DMSO-d6
    4-hydroxy-1-naphthalenesulfonic acid sodium salt
    ChemicalStructure
        Assign.     Shift(ppm)
    A 10.48 B 8.752 C 8.149 D 7.800 E *1 7.489 F *1 7.438 G 6.823 J(B,E)=J(C,F)=8.2HZ J(D,G)=7.9HZ

         Hz     ppm     Int.
    

       4189.76  10.484   1000
       3502.04   8.763    649
       3493.65   8.742    679
       3261.11   8.160    605
       3252.87   8.140    654
       3128.05   7.827     50
       3121.64   7.811    850
       3113.71   7.792    885
       3016.36   7.548     30
       3013.15   7.540     42
       3009.95   7.532     57
       3001.56   7.511    280
       2994.69   7.494    555
       2986.60   7.474    461
       2978.97   7.454    510
       2971.50   7.436    576
       2964.32   7.418    284
       2956.70   7.399     30
       2730.87   6.834    831
       2722.93   6.814    824
    

in DMSO-d6



KBr disc



nujol mull