图谱信息 供应商 相关产品
网站主页CAS数据库列表 61-19-8更多图谱腺苷酸(61-19-8)核磁图(1HNMR)

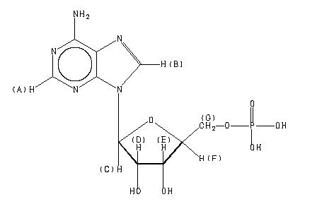
腺苷酸

产品名称 腺苷酸

CAS号61-19-8

分子式C10H14N5O7P

分子量347.22

展开

400 MHz in D2O


  • 1H NMR 399.65 MHz
    C10 H14 N5 O7 P saturated in D2O
    adenosine 5'-monophosphate
    ChemicalStructure
        Assign.     Shift(ppm)
    A 8.577 B 8.349 C 6.162 D 4.750 E 4.510 F 4.398 G 4.15 THE SOLVENT PEAK SUPPRESSED.

         Hz     ppm     Int.
    

       3427.61   8.577    541
       3341.06   8.360    134
       3340.21   8.358    171
       3336.67   8.349    689
       2465.58   6.170    906
       2460.08   6.156   1000
       1905.15   4.768    216
       1899.90   4.754    363
       1894.65   4.741    282
       1807.25   4.523    506
       1805.42   4.518    174
       1803.34   4.513    654
       1802.25   4.510    608
       1798.46   4.501    560
       1760.50   4.406    376
       1758.06   4.399    472
       1755.00   4.392    370
       1674.44   4.190    115
       1674.07   4.189    132
       1673.58   4.188    111
       1672.97   4.187    127
       1672.61   4.186    127
       1670.17   4.180    115
       1669.56   4.178    120
       1665.41   4.168    346
       1662.60   4.161    417
       1660.89   4.156    453
       1658.45   4.150    586
       1655.76   4.144    409
       1654.42   4.140    344
       1653.56   4.138    388
       1650.27   4.130    329
       1646.97   4.122    137
       1643.92   4.114    119
       1641.97   4.109    124
       1641.48   4.108    126
    

in CDCl3



KBr disc



nujol mull